ГОСТы >
11.180.10 Средства помощи и приспособления для обеспечения доступности объектов и инфраструктуры >
ГОСТ Р ИСО 10328-2007
ГОСТ Р ИСО 10328-2007 Протезирование. Испытания конструкции протезов нижних конечностей. Требования и методы испытаний
ГОСТ Р ИСО
Скачать ГОСТ в PDF или DOC бесплатно
Основная информация
Обозначение:
ГОСТ Р ИСО 10328-2007
Статус:
Заменен
Тип:
ГОСТ Р ИСО
Название русское:
Протезирование. Испытания конструкции протезов нижних конечностей. Требования и методы испытаний
Название английское:
Prosthetics. Structural testing of lower-limb prostheses. Requirements and test methods
Даты и сроки
Дата издания:
01-29-09
Дата введения в действие:
01-01-09
Дата завершения срока действия:
12-01-21
Применение и описание
Область и условия применения:
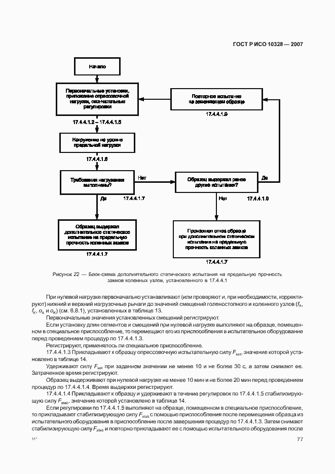
Настоящий стандарт пригоден для оценки соответствия протезных устройств нижних конечностей требованиям прочности, установленным в ИСО 22523. Настоящий стандарт не пригоден для использования в качестве руководства при назначении конкретного протезного устройства нижней конечности индивидуального изготовления. Настоящий стандарт устанавливает статические и циклические испытания на прочность протезных устройств нижних конечностей, при которых сложные нагружения воспроизводят приложением единственной испытательной силы. Сложные нагрузки на испытываемый образец соответствуют пиковым значениям нагрузок, которые обычно возникают в различные моменты фазы опоры при ходьбе
Связи и замены
Заменяющий:
ГОСТ Р ИСО 10328-2021
Взамен:
ГОСТ Р ИСО 10328-1-98;ГОСТ Р ИСО 10328-2-98;ГОСТ Р ИСО 10328-3-98;ГОСТ Р ИСО 10328-4-98;ГОСТ Р ИСО 10328-5-98;ГОСТ Р ИСО 10328-6-98;ГОСТ Р ИСО 10328-7-98;ГОСТ Р ИСО 10328-8-98
Описание стандарта
ГОСТ Р ИСО 10328-2007 Протезирование. Испытания конструкции протезов нижних конечностей. Требования и методы испытаний
Страницы стандарта

























































































































