ГОСТы >
11.180 Средства помощи для инвалидов и других лиц с ограничениями жизнедеятельности >
ГОСТ Р 59221-2020
ГОСТ Р 59221-2020 Коды обмена и обработки информации для шеститочечного представления символов по системе Брайля в кодировке Юникод алфавитов языков народов Российской Федерации
ГОСТ Р
Скачать ГОСТ в PDF или DOC бесплатно
Основная информация
Обозначение:
ГОСТ Р 59221-2020
Статус:
Действует
Тип:
ГОСТ Р
Название русское:
Коды обмена и обработки информации для шеститочечного представления символов по системе Брайля в кодировке Юникод алфавитов языков народов Российской Федерации
Название английское:
Codes for exchanging and processing the information for the six-point representation of Braille characters in the Unicode encoding of alphabets of languages of the peoples of the Russian Federation
Даты и сроки
Дата издания:
12-23-20
Дата введения в действие:
06-01-21
Дата завершения срока действия:
-
Применение и описание
Область и условия применения:
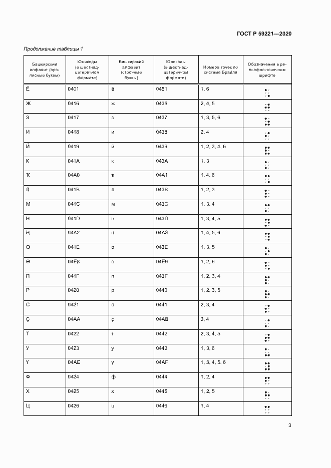
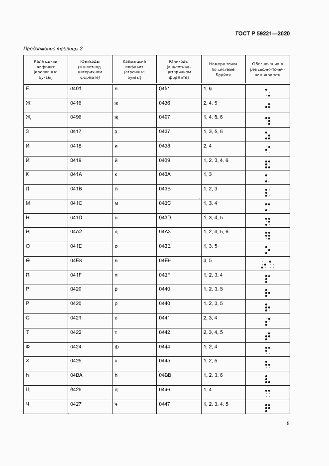
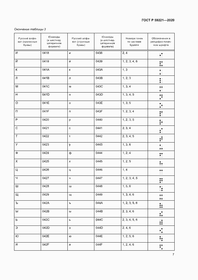
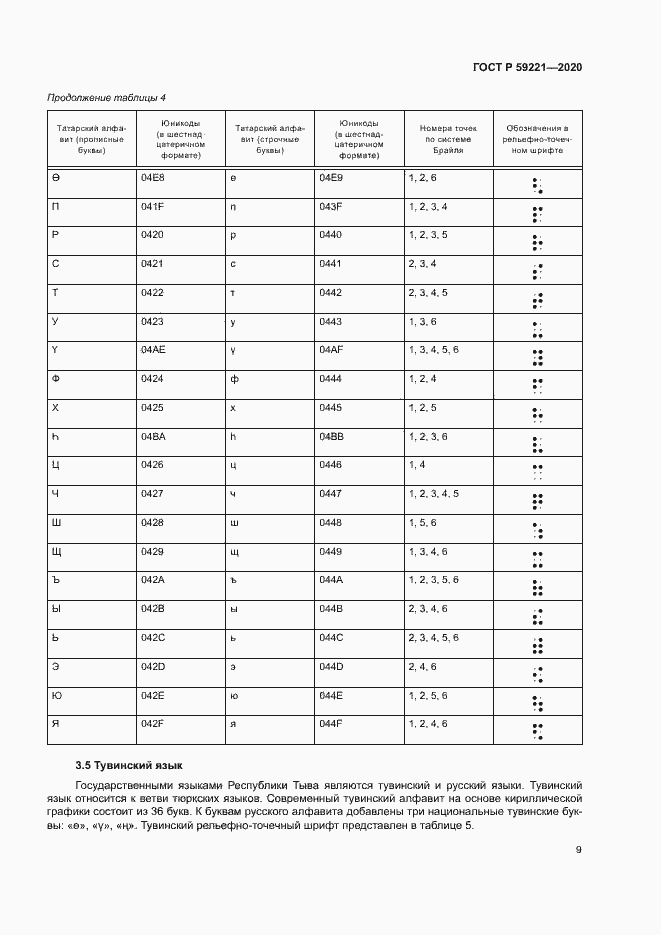
Настоящий стандарт распространяется на шеститочечное представление символов по системе Брайля, используемых при обмене и обработке информации в устройствах подготовки, ввода, вывода, обработки, хранения и передачи данных в процессе подготовки и тиражирования изданий рельефно-точечного шрифта, издаваемых на государственных языках Российской Федерации и субъектов Российской Федерации
Связи и замены
Заменяющий:
-
Описание стандарта
ГОСТ Р 59221-2020 Коды обмена и обработки информации для шеститочечного представления символов по системе Брайля в кодировке Юникод алфавитов языков народов Российской Федерации
Страницы стандарта


























