ГОСТы >
11.180.10 Средства помощи и приспособления для обеспечения доступности объектов и инфраструктуры >
ГОСТ Р 53871-2021
ГОСТ Р 53871-2021 Методы оценки реабилитационной эффективности протезирования нижних конечностей
ГОСТ Р
Скачать ГОСТ в PDF или DOC бесплатно
Основная информация
Обозначение:
ГОСТ Р 53871-2021
Статус:
Действует
Тип:
ГОСТ Р
Название русское:
Методы оценки реабилитационной эффективности протезирования нижних конечностей
Название английское:
Methods of evaluation of rehabilitation efficiency of lower-limb prosthetics
Даты и сроки
Дата издания:
06-08-21
Дата введения в действие:
12-01-21
Дата завершения срока действия:
-
Применение и описание
Область и условия применения:
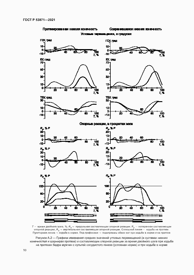
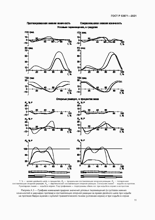
Настоящий стандарт распространяется на протезы нижних конечностей и устанавливает следующие методы оценки реабилитационной эффективности протезирования нижних конечностей: клинический и биомеханический
Связи и замены
Заменяющий:
-
Взамен:
ГОСТ Р 53871-2010
Описание стандарта
ГОСТ Р 53871-2021 Методы оценки реабилитационной эффективности протезирования нижних конечностей
Страницы стандарта














