ГОСТ ISO 23409-2014 Презервативы мужские из синтетических материалов. Требования и методы испытаний
ГОСТ ИСО
Скачать ГОСТ в PDF или DOC бесплатно
Основная информация
Обозначение:
ГОСТ ISO 23409-2014
Статус:
Действует
Тип:
ГОСТ ИСО
Название русское:
Презервативы мужские из синтетических материалов. Требования и методы испытаний
Название английское:
Male condoms made from synthetic materials. Requirements and test methods
Даты и сроки
Дата регистрации:
11-14-14
Дата издания:
07-21-15
Дата введения в действие:
07-01-16
Дата завершения срока действия:
-
Применение и описание
Область и условия применения:
Настоящий стандарт распространяется на мужские презервативы из синтетических материалов или смеси синтетических материалов и натурального латекса, используемые в качестве средства контрацепции и предотвращения передачи инфекций, передающихся половым путем (STI), и устанавливает требования и методы испытаний
Связи и замены
Заменяющий:
-
Описание стандарта
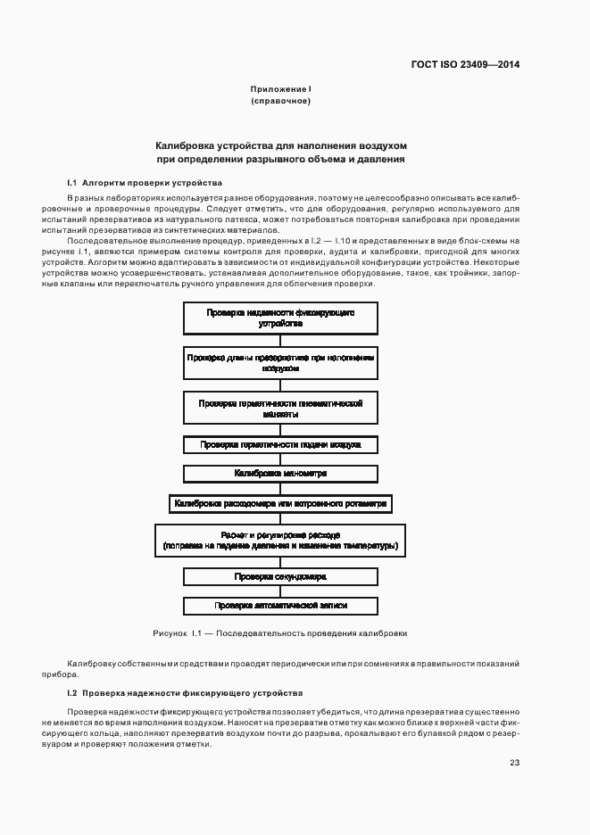
ГОСТ ISO 23409-2014 Презервативы мужские из синтетических материалов. Требования и методы испытаний
Страницы стандарта












































