ГОСТ Р ИСО 14066-2013 Парниковые газы. Требования к компетентности групп по валидации и верификации парниковых газов
ГОСТ Р ИСО
Скачать ГОСТ в PDF или DOC бесплатно
Основная информация
Обозначение:
ГОСТ Р ИСО 14066-2013
Статус:
Заменен
Тип:
ГОСТ Р ИСО
Название русское:
Парниковые газы. Требования к компетентности групп по валидации и верификации парниковых газов
Название английское:
Greenhouse gases. Competence requirements for greenhouse gas validation teams and verification team
Даты и сроки
Дата издания:
10-25-19
Дата введения в действие:
09-01-14
Дата завершения срока действия:
01-01-25
Применение и описание
Область и условия применения:
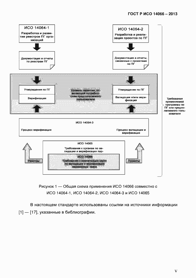
Настоящий стандарт устанавливает требования к компетентности членов групп по валидации и верификации парниковых газов (ПГ) в соответствии со сферами компетенции. Настоящий стандарт дополняет ИСО 14065. Настоящий стандарт не привязан к какой-либо конкретной программе по ПГ. В случае применения конкретной программы по ПГ требования к компетентности этих программ являются дополнительными по отношению к требованиям настоящего стандарта
Связи и замены
Заменяющий:
ГОСТ Р ИСО 14066-2024
Описание стандарта
ГОСТ Р ИСО 14066-2013 Парниковые газы. Требования к компетентности групп по валидации и верификации парниковых газов
Страницы стандарта
























































