ГОСТ 33570-2015 Ресурсосбережение. Обращение с отходами. Методология идентификации. Зарубежный опыт
ГОСТ
Скачать ГОСТ в PDF или DOC бесплатно
Основная информация
Обозначение:
ГОСТ 33570-2015
Статус:
Действует
Тип:
ГОСТ
Название русское:
Ресурсосбережение. Обращение с отходами. Методология идентификации. Зарубежный опыт
Название английское:
Resources saving. Waste treatment. Identification methodology. International experience
Даты и сроки
Дата регистрации:
10-27-15
Дата издания:
09-27-19
Дата введения в действие:
08-01-16
Дата завершения срока действия:
-
Применение и описание
Область и условия применения:
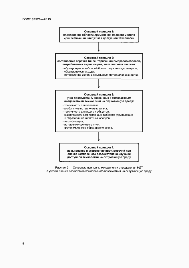
Настоящий стандарт устанавливает положения и требования к методологии идентификации наилучших доступных технологий, в соответствии с которыми хозяйствующий субъект (юридическое лицо или индивидуальный предприниматель) добивается ресурсо- и энергосбережения с одновременным снижением техногенной нагрузки на окружающую среду. Настоящий стандарт распространяется на любые технологические решения, применяемые в процессах хозяйственной деятельности
Связи и замены
Заменяющий:
-
Описание стандарта
ГОСТ 33570-2015 Ресурсосбережение. Обращение с отходами. Методология идентификации. Зарубежный опыт
Страницы стандарта



















