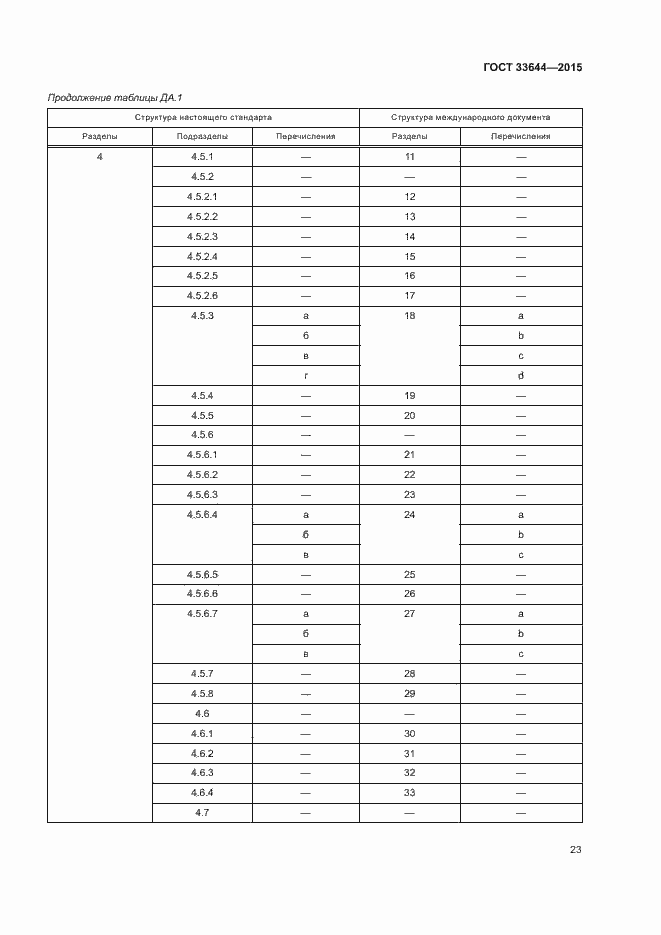
ГОСТ 33644-2015 Методы испытаний химической продукции, представляющей опасность для окружающей среды. Определение биоразлагаемости в морской воде
ГОСТ
Скачать ГОСТ в PDF или DOC бесплатно
Основная информация
Обозначение:
ГОСТ 33644-2015
Статус:
Действует
Тип:
ГОСТ
Название русское:
Методы испытаний химической продукции, представляющей опасность для окружающей среды. Определение биоразлагаемости в морской воде
Название английское:
Testing of chemicals of environmental hazard. Biodegradability in Seawater
Даты и сроки
Дата регистрации:
10-27-15
Дата издания:
02-25-16
Дата введения в действие:
09-01-16
Дата завершения срока действия:
-
Применение и описание
Область и условия применения:
Настоящий стандарт устанавливает методы определения биоразлагаемости химических веществ в морской воде
Связи и замены
Заменяющий:
-
Описание стандарта
ГОСТ 33644-2015 Методы испытаний химической продукции, представляющей опасность для окружающей среды. Определение биоразлагаемости в морской воде
Страницы стандарта






























