ГОСТ Р 14.09-2005 Экологический менеджмент. Руководство по оценке риска в области экологического менеджмента
ГОСТ Р
Скачать ГОСТ в PDF или DOC бесплатно
Основная информация
Обозначение:
ГОСТ Р 14.09-2005
Статус:
Действует
Тип:
ГОСТ Р
Название русское:
Экологический менеджмент. Руководство по оценке риска в области экологического менеджмента
Название английское:
Ecological management. Leadership on estimation of risk in field ecological management
Даты и сроки
Дата издания:
02-16-10
Дата введения в действие:
01-01-07
Дата завершения срока действия:
-
Применение и описание
Область и условия применения:
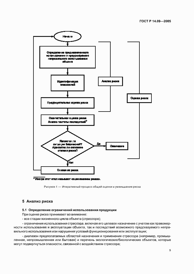
Настоящий стандарт устанавливает руководство по оценке экологических рисков для природоохранных зон (природных парков, заповедников) и зон, представляющих особую значимость с точки зрения их использования в качестве экологически важных объектов для реабилитации людей в зонах отдыха, на туристических базах. Данное Руководство не распространяется на людей, домашних животных и на многие экологические объекты, компоненты и ситуации, встречающиеся в повседневной жизни. Однако настоящий стандарт может быть использован в качестве основы для разработки методов, учитывающих специфические особенности конкретных экологических объектов и ситуаций
Связи и замены
Заменяющий:
-
Описание стандарта
ГОСТ Р 14.09-2005 Экологический менеджмент. Руководство по оценке риска в области экологического менеджмента
Страницы стандарта







































