ГОСТ Р ИСО 14044-2007 Экологический менеджмент. Оценка жизненного цикла. Требования и рекомендации
ГОСТ Р ИСО
Скачать ГОСТ в PDF или DOC бесплатно
Основная информация
Обозначение:
ГОСТ Р ИСО 14044-2007
Статус:
Заменен
Тип:
ГОСТ Р ИСО
Название русское:
Экологический менеджмент. Оценка жизненного цикла. Требования и рекомендации
Название английское:
Environmental management. Life cycle assessment. Requirements and guidelines
Даты и сроки
Дата издания:
03-10-10
Дата введения в действие:
01-01-09
Дата завершения срока действия:
01-01-20
Применение и описание
Область и условия применения:
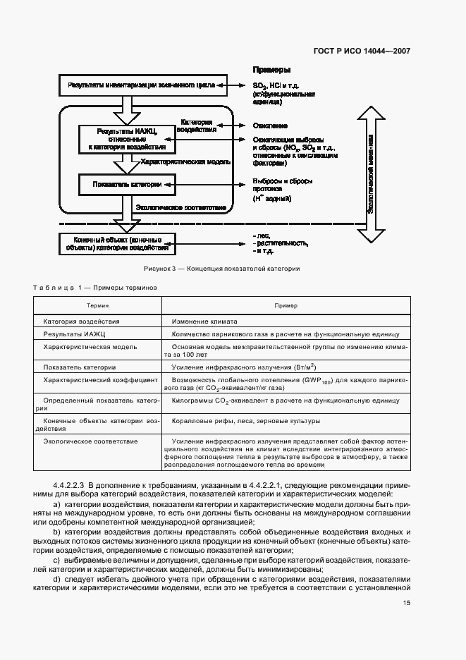
Настоящий стандарт устанавливает требования к оценке жизненного цикла продукции (далее - ОЖЦ) продукции и предоставляет соответствующие рекомендации в отношении: a) установления цели и области применения ОЖЦ; b) стадии инвентаризационного анализа жизненного цикла (ИАЖЦ); c) стадии оценки воздействия жизненного цикла (ОВЖЦ); d) стадии интерпретации жизненного цикла; e) подготовки отчетов и критического анализа ОЖЦ; f) ограничений ОЖЦ; g) взаимозависимости стадии ОЖЦ, а также условий использования количественных значений и дополнительных элементов
Связи и замены
Заменяющий:
ГОСТ Р ИСО 14044-2019
Описание стандарта
ГОСТ Р ИСО 14044-2007 Экологический менеджмент. Оценка жизненного цикла. Требования и рекомендации
Страницы стандарта










































