ГОСТ Р ИСО 14064-3-2007 Газы парниковые. Часть 3. Требования и руководство по валидации и верификации утверждений, касающихся парниковых газов
ГОСТ Р ИСО
Скачать ГОСТ в PDF или DOC бесплатно
Основная информация
Обозначение:
ГОСТ Р ИСО 14064-3-2007
Статус:
Заменен
Тип:
ГОСТ Р ИСО
Название русское:
Газы парниковые. Часть 3. Требования и руководство по валидации и верификации утверждений, касающихся парниковых газов
Название английское:
Greenhouse gases. Part 3. Specification with guidance for the validation and verification of greenhouse gas assertions
Даты и сроки
Дата издания:
01-20-10
Дата введения в действие:
01-01-09
Дата завершения срока действия:
01-01-22
Применение и описание
Область и условия применения:
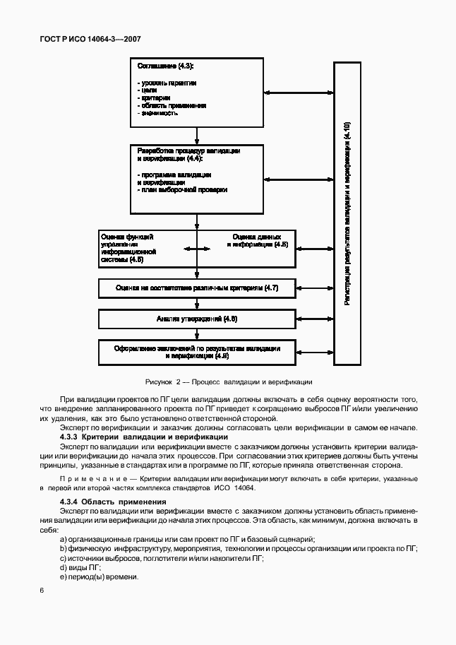
Настоящий стандарт устанавливает принципы и требования, а также рекомендации по проведению или управлению процедурами валидации и/или верификации утверждений по парниковым газам (ПГ). Требования настоящего стандарта следует применять для количественных оценок, проводимых в организации, при выполнении проекта по ПГ, включая количественное определение выбросов ПГ, мониторинг и предоставление отчетов в соответствии с требованиями первой и второй частей комплекса стандартов ИСО 14064. Настоящий стандарт также устанавливает требования к выбору экспертов по валидации и верификации, установлению уровня гарантий, целей, критериев и областей применения, выбору подходов к процедурам валидации или верификации, оценке данных по ПГ, информации, информационным системам и системам управления, оценке правильности утверждений по ПГ и подготовке заключений по результатам валидации или верификации. Настоящий стандарт не влияет на требования программ по ПГ. Требования действующих программ по ПГ дополняют требования настоящего стандарта
Связи и замены
Заменяющий:
ГОСТ Р ИСО 14064-3-2021
Описание стандарта
ГОСТ Р ИСО 14064-3-2007 Газы парниковые. Часть 3. Требования и руководство по валидации и верификации утверждений, касающихся парниковых газов
Страницы стандарта


































