ГОСТ Р 56828.13-2016 Наилучшие доступные технологии. Формат описания технологий
ГОСТ Р
Скачать ГОСТ в PDF или DOC бесплатно
Основная информация
Обозначение:
ГОСТ Р 56828.13-2016
Статус:
Заменен
Тип:
ГОСТ Р
Название русское:
Наилучшие доступные технологии. Формат описания технологий
Название английское:
Best available techniques. Technology description framework
Даты и сроки
Дата издания:
07-22-19
Дата введения в действие:
07-01-17
Дата завершения срока действия:
06-01-20
Применение и описание
Область и условия применения:
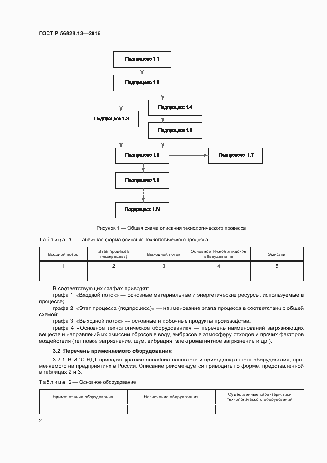
Настоящий стандарт устанавливает минимальные требования к формату описания технологий, применяемому при разработке раздела 2 «Описание технологий и технологических процессов, используемых в настоящее время в рассматриваемой отрасли промышленности» и раздела 3 «Текущие уровни эмиссии в окружающую среду» информационно-технического справочника по наилучшим доступным технологиям
Связи и замены
Заменяющий:
ГОСТ Р 113.00.04-2020
Описание стандарта
ГОСТ Р 56828.13-2016 Наилучшие доступные технологии. Формат описания технологий
Страницы стандарта







