ГОСТ Р ИСО 14046-2017 Экологический менеджмент. Водный след. Принципы, требования и руководящие указания
ГОСТ Р ИСО
Скачать ГОСТ в PDF или DOC бесплатно
Основная информация
Обозначение:
ГОСТ Р ИСО 14046-2017
Статус:
Действует
Тип:
ГОСТ Р ИСО
Название русское:
Экологический менеджмент. Водный след. Принципы, требования и руководящие указания
Название английское:
Environmental management. Water footprint. Principles, requirements and guidelines
Даты и сроки
Дата издания:
08-06-19
Дата введения в действие:
01-01-18
Дата завершения срока действия:
-
Применение и описание
Область и условия применения:
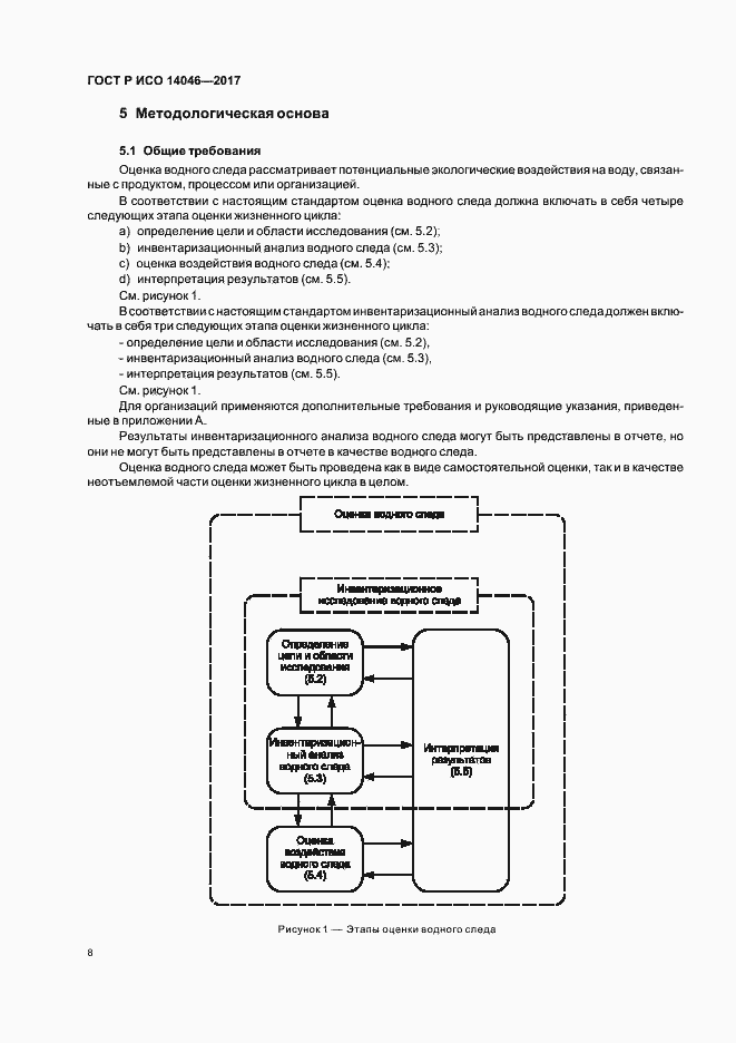
Настоящий стандарт устанавливает принципы, требования и руководящие указания, относящиеся к оценке водного следа продукции, процессов и организаций на основе оценки жизненного цикла. Настоящий стандарт устанавливает также принципы, требования и руководящие указания для проведения и представления отчетных данных по оценке водного следа, как в виде самостоятельной оценки, так и в виде части более полной общей экологической оценки. В данную оценку включены только те выбросы в атмосферу и почву, которые непосредственно влияют на качество воды, а не все выбросы в атмосферу и почву. Результатом оценки водного следа является либо отдельное значение, либо совокупность результатов оценки показателей воздействий. Если представление отчетных данных по оценке входит в область применения настоящего стандарта, то доведение результатов оценки до конкретного адресата, например, в форме экологических этикеток, знаков или деклараций, находится вне области применения настоящего стандарта
Связи и замены
Заменяющий:
-
Описание стандарта
ГОСТ Р ИСО 14046-2017 Экологический менеджмент. Водный след. Принципы, требования и руководящие указания
Страницы стандарта


































