ГОСТ Р МЭК 61619-2013 Жидкости изоляционные. Определение загрязнения полихлорированными бифенилами (PCB) методом газовой хроматографии на капиллярной колонке
ГОСТ Р МЭК
Скачать ГОСТ в PDF или DOC бесплатно
Основная информация
Обозначение:
ГОСТ Р МЭК 61619-2013
Статус:
Действует
Тип:
ГОСТ Р МЭК
Название русское:
Жидкости изоляционные. Определение загрязнения полихлорированными бифенилами (PCB) методом газовой хроматографии на капиллярной колонке
Название английское:
Insulating liquids. Contamination by polychlorinated biphenyls (PCB) determination by capillary column gas chromatography method
Даты и сроки
Дата издания:
11-21-19
Дата введения в действие:
07-01-14
Дата завершения срока действия:
-
Применение и описание
Область и условия применения:
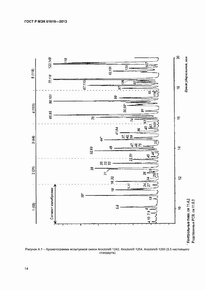
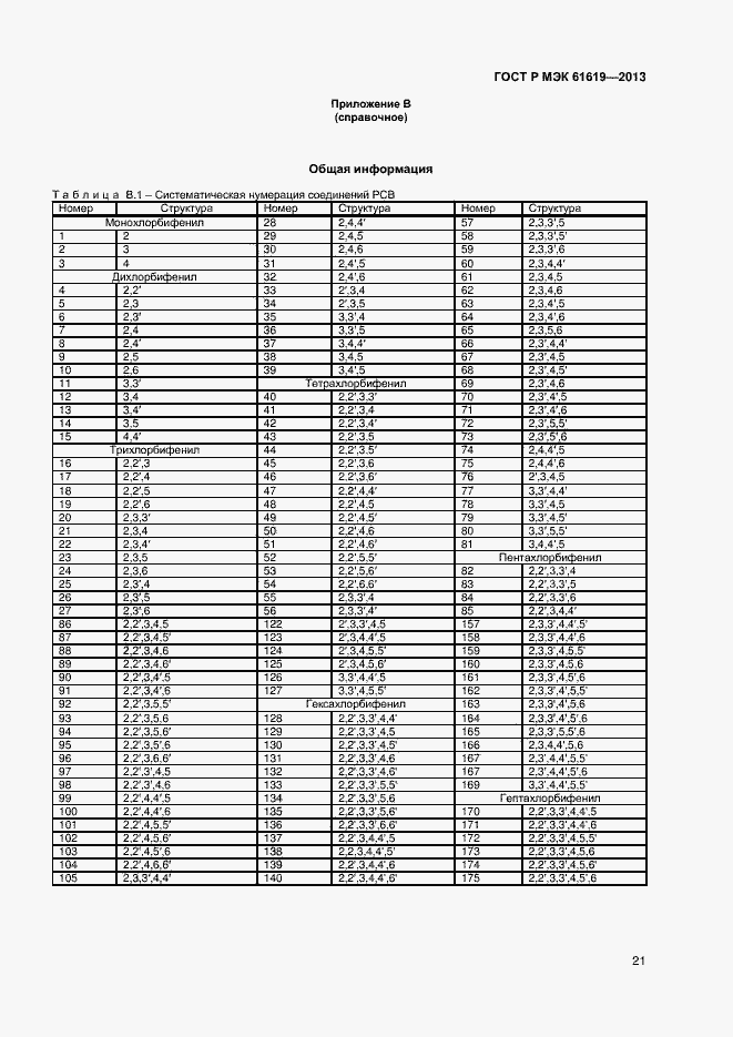
Настоящий стандарт устанавливает метод определения содержания полихлорированных бифенилов (РСВ) в изоляционных жидкостях, не содержащих хлорзамещенные углеводороды, методом капиллярной газовой хроматографии высокого разрешения с использованием электронозахватного детектора (ECD). Настоящий метод позволяет определить общее содержание РСВ и выполнить подробный анализ родственных РСВ соединений. Если не требуется подробный анализ родственных РСВ соединений, можно использовать метод по МЭК 61619:1997. Метод применим к неиспользованным, регенерированным (включая дехлорированные и химически и/или физически обработанные) или использованным изоляционным жидкостям, загрязненным РСВ
Связи и замены
Заменяющий:
-
Описание стандарта
ГОСТ Р МЭК 61619-2013 Жидкости изоляционные. Определение загрязнения полихлорированными бифенилами (PCB) методом газовой хроматографии на капиллярной колонке
Страницы стандарта































Приложение №1: Поправка к ГОСТ Р МЭК 61619-2013 Обозначение: Поправка к ГОСТ Р МЭК 61619-2013 Дата введения в действие: 22.05.2025
