ГОСТ Р 54097-2010 Ресурсосбережение. Наилучшие доступные технологии. Методология идентификации
ГОСТ Р
Скачать ГОСТ в PDF или DOC бесплатно
Основная информация
Обозначение:
ГОСТ Р 54097-2010
Статус:
Отменен
Тип:
ГОСТ Р
Название русское:
Ресурсосбережение. Наилучшие доступные технологии. Методология идентификации
Название английское:
Resources saving. Best аvailable techniques. Identification methodology
Даты и сроки
Дата издания:
12-02-11
Дата введения в действие:
01-01-12
Дата завершения срока действия:
08-01-16
Применение и описание
Область и условия применения:
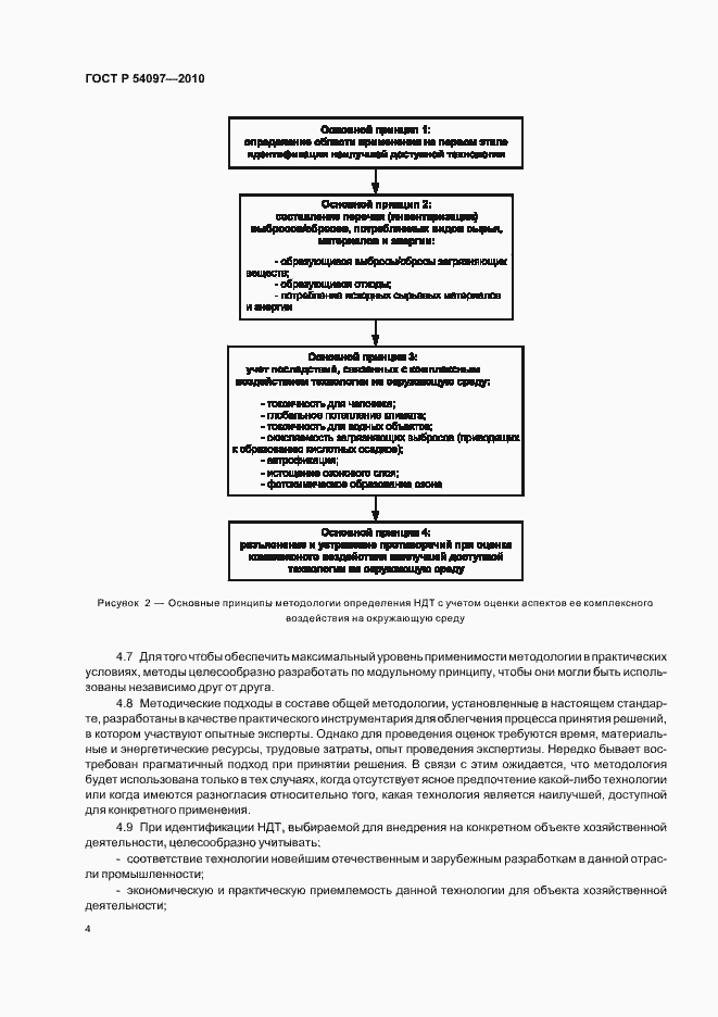
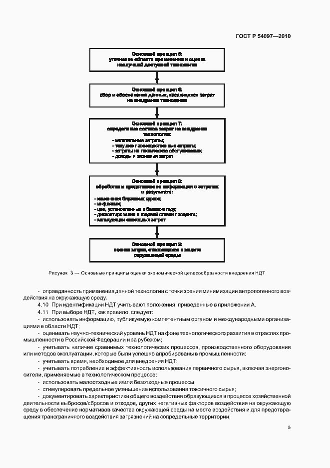
Настоящий стандарт устанавливает положения и требования к методологии идентификации наилучших доступных технологий, в соответствии с которыми хозяйствующий субъект (юридическое лицо или индивидуальный предприниматель) добивается ресурсо- и энергосбережения с одновременным снижением техногенной нагрузки на окружающую среду. Настоящий стандарт распространяется на любые технологические решения, применяемые в процессах хозяйственной деятельности. Настоящий стандарт не распространяется на оборонную продукцию и ядерные объекты. Настоящий стандарт рекомендуется использовать во всех видах документации и литературы, относящихся к сфере защиты окружающей среды в процессах хозяйственной деятельности
Связи и замены
Заменяющий:
-
Изменения и переиздания
Список изменений:
№0 от (рег. ) «Текстовое изменение; Изменено заглавие»
Описание стандарта
ГОСТ Р 54097-2010 Ресурсосбережение. Наилучшие доступные технологии. Методология идентификации
Страницы стандарта



















