ГОСТ Р 56269-2014 Экологический менеджмент. Оценка жизненного цикла. Примеры применения ИСО 14044 к ситуациям воздействия
ГОСТ Р
Скачать ГОСТ в PDF или DOC бесплатно
Основная информация
Обозначение:
ГОСТ Р 56269-2014
Статус:
Действует
Тип:
ГОСТ Р
Название русское:
Экологический менеджмент. Оценка жизненного цикла. Примеры применения ИСО 14044 к ситуациям воздействия
Название английское:
Environmental management. Life cycle assessment. Illustrative examples on how to apply ISO 14044 to impact assessment situations
Даты и сроки
Дата издания:
03-03-15
Дата введения в действие:
01-01-16
Дата завершения срока действия:
-
Применение и описание
Область и условия применения:
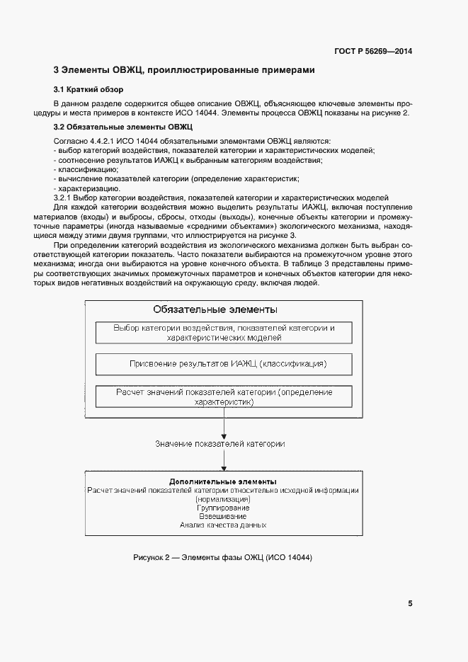
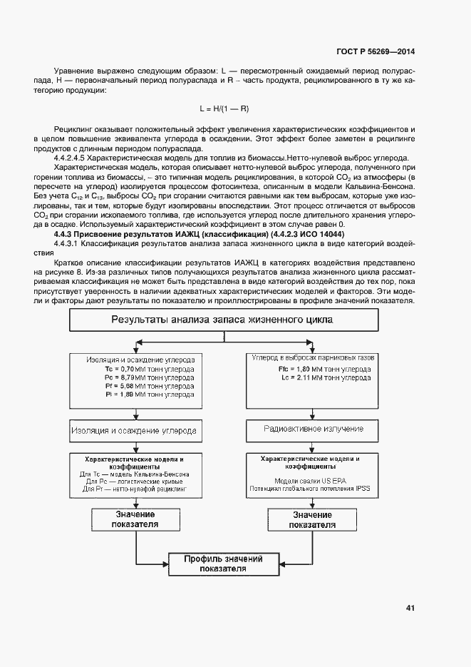
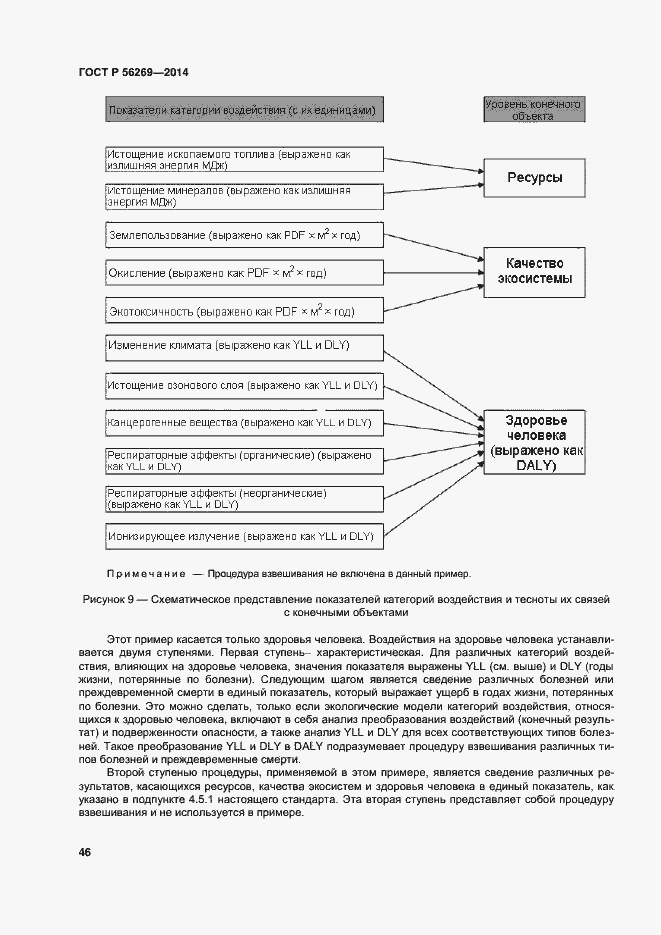
Настоящий стандарт устанавливает примеры, иллюстрирующие существующую методику проведения оценки негативных воздействий на окружающую среду на стадиях жизненного цикла продукции согласно ИСО 14044:2006. Эти примеры являются небольшой частью возможных способов удовлетворения требований ИСО 14044 и предлагают «способ» или «способы», а не «уникальный способ» применения ИСО 14044. Примеры отражают ключевые элементы фазы оценки воздействий при оценке жизненного цикла продукции (ОВЖЦ). Примеры, представленные в настоящем стандарте, не являются исключительными, существуют и другие примеры решения методологических проблем
Связи и замены
Заменяющий:
-
Описание стандарта
ГОСТ Р 56269-2014 Экологический менеджмент. Оценка жизненного цикла. Примеры применения ИСО 14044 к ситуациям воздействия
Страницы стандарта







































































































