ГОСТ IEC 62321-2-2016 Определение регламентированных веществ в электротехнических изделиях. Часть 2. Разборка, отсоединение и механическая подготовка образца
ГОСТ МЭК
Скачать ГОСТ в PDF или DOC бесплатно
Основная информация
Обозначение:
ГОСТ IEC 62321-2-2016
Статус:
Действует
Тип:
ГОСТ МЭК
Название русское:
Определение регламентированных веществ в электротехнических изделиях. Часть 2. Разборка, отсоединение и механическая подготовка образца
Название английское:
Determination of certain substances in electrotechnical products. Part 2. Disassembly, disjunction and mechanical sample preparation
Даты и сроки
Дата регистрации:
06-28-16
Дата издания:
09-24-21
Дата введения в действие:
03-01-22
Применение и описание
Область и условия применения:
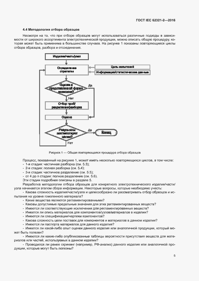
Настоящий стандарт устанавливает методы отбора образов и механическую подготовку образцов электротехнической продукции, электронных узлов и компонентов. Данные образцы могут быть использованы при аналитических методах контроля для определения уровня содержания регламентированных веществ в соответствии с методами контроля, установленными в других частях серии IEC 62321. Ограничения на содержание регламентированных веществ отличаются в различных географических регионах и меняются со временем. В настоящем стандарте приведено общее описание процесса отбора образцов любого вещества, содержание которого может ограничиваться. Настоящий стандарт не устанавливает: - полного руководства по каждому изделию, которое может быть отнесено к электротехническому оборудованию. Учитывая большое разнообразие электротехнических компонентов с различной структурой и принципом работы, а также постоянные изменения, происходящие в данной сфере, не представляется возможным установить процедуры отсоединения для всех видов компонентов; - руководства по другим способам сбора дополнительной информации о содержании регламентированных веществ в продукции, несмотря на то, что собираемая информация имеет отношение к методологии отбора образцов по настоящему стандарту; - инструкции по безопасной разборке и механическому разделению электротехнических изделий (например, ртутьсодержащих выключателей) и к их утилизации (например, порядок обращения с ЭЛТ или безопасной утилизации аккумуляторов). Процедура отсоединения и механическая подготовкаобразцов для определения уровня содержания ртути в люминесцентных лампах установлены в [2]; - определения термина «часть изделия», которая может быть выбрана в качестве образца; - процедуры отбора образцов упаковки и упаковочных материалов; - аналитические методы контроля для измерения уровней содержания регламентированных веществ. Данные методы установлены в других стандартах (например, в других частях серии IEC 62321), на которые в настоящем стандарте приведены ссылки как на «стандарты на методы контроля»; - руководства по оценке соответствия
Описание стандарта
ГОСТ IEC 62321-2-2016 Определение регламентированных веществ в электротехнических изделиях. Часть 2. Разборка, отсоединение и механическая подготовка образца
Страницы стандарта

















































