ГОСТ Р 59782-2021 Охрана окружающей среды. Биологическое разнообразие. Рекомендации по формированию и реализации коммерческой организацией программы по сохранению биологического разнообразия
ГОСТ Р
Скачать ГОСТ в PDF или DOC бесплатно
Основная информация
Обозначение:
ГОСТ Р 59782-2021
Статус:
Действует
Тип:
ГОСТ Р
Название русское:
Охрана окружающей среды. Биологическое разнообразие. Рекомендации по формированию и реализации коммерческой организацией программы по сохранению биологического разнообразия
Название английское:
Environmental protection. Biological diversity. Recommendations for the formation and implementation of a program for the conservation of biological diversity by a commercial organization
Даты и сроки
Дата издания:
11-08-21
Дата введения в действие:
04-01-22
Дата завершения срока действия:
-
Применение и описание
Область и условия применения:
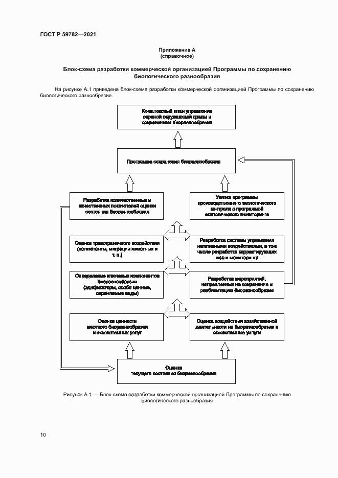
Настоящий стандарт устанавливает рекомендации по формированию программы по сохранению биологического разнообразия коммерческой организацией (далее – Программа) с указанием основных требований, обеспечивающих ее правильное понимание и реализацию. Настоящий стандарт не распространяется на программы, связанные с обеспечением военной безопасности, влиянием оборонной продукции и ядерных объектов на биологическое разнообразие окружающей среды
Связи и замены
Заменяющий:
-
Описание стандарта
ГОСТ Р 59782-2021 Охрана окружающей среды. Биологическое разнообразие. Рекомендации по формированию и реализации коммерческой организацией программы по сохранению биологического разнообразия
Страницы стандарта



















