ГОСТ Р 55087-2012 Ресурсосбережение. Обращение с отходами. Требования к контролю трансграничного перемещения отходв, предназначенных для операций по утилизации
ГОСТ Р
Скачать ГОСТ в PDF или DOC бесплатно
Основная информация
Обозначение:
ГОСТ Р 55087-2012
Статус:
Действует
Тип:
ГОСТ Р
Название русское:
Ресурсосбережение. Обращение с отходами. Требования к контролю трансграничного перемещения отходв, предназначенных для операций по утилизации
Название английское:
Resources saving. Waste treatment. Control of transboundary movements of wastes destined for recovery operations
Даты и сроки
Дата введения в действие:
01-01-14
Дата завершения срока действия:
-
Применение и описание
Область и условия применения:
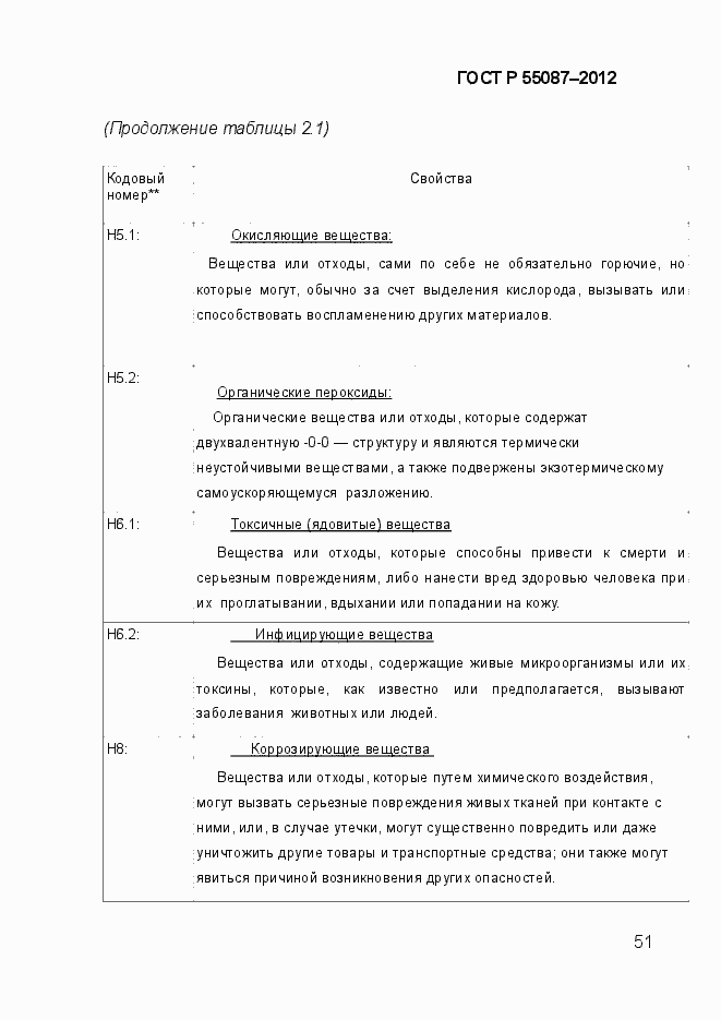
Настоящий стандарт устанавливает требования к регулированию трансграничной перевозки опасных отходов и их удаления, с учетом классификации и характеристик опасных отходов. Настоящий стандарт предназначен кругу лиц, имеющих отношение к уполномоченным органам государственной власти Российской Федерации в области обращения с отходами, а также их территориальным органам, органам местного самоуправления, общественным объединениям и иным организациям, имеющим отношение к работе с промышленными и потребительскими отходами (хозяйствующим субъектам).
Связи и замены
Заменяющий:
-
Описание стандарта
ГОСТ Р 55087-2012 Ресурсосбережение. Обращение с отходами. Требования к контролю трансграничного перемещения отходв, предназначенных для операций по утилизации
Страницы стандарта


























































































































