ГОСТ 17.2.1.01-76 Охрана природы. Атмосфера. Классификация выбросов по составу
ГОСТ
Скачать ГОСТ в PDF или DOC бесплатно
Основная информация
Обозначение:
ГОСТ 17.2.1.01-76
Статус:
Действует
Тип:
ГОСТ
Название русское:
Охрана природы. Атмосфера. Классификация выбросов по составу
Название английское:
Nature protection. Atmosphere. Classification of effluents according to composition
Даты и сроки
Дата издания:
07-01-04
Дата введения в действие:
01-01-77
Дата завершения срока действия:
-
Применение и описание
Область и условия применения:
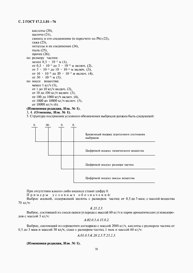
Настоящий стандарт устанавливает классификацию выбросов вредных веществ из источников загрязнения атмосферы по составу и структуру построения из условного обозначения. Настоящий стандарт не распространяется на выбросы, содержащие радиоактивные и биологические вещества (радиоактивная пыль, сложные биологические комплексы, бактерии, микроорганизмы и т.п.)
Связи и замены
Заменяющий:
-
Изменения и переиздания
Список изменений:
№1 от (рег. ) «Срок действия продлен»
Описание стандарта
ГОСТ 17.2.1.01-76 Охрана природы. Атмосфера. Классификация выбросов по составу
Страницы стандарта

