ГОСТ Р ЕН 15259-2015 Качество воздуха. Выбросы стационарных источников. Требования к выбору измерительных секций и мест измерений, цели и плану измерений и составлению отчета
ГОСТ Р ЕН
Скачать ГОСТ в PDF или DOC бесплатно
Основная информация
Обозначение:
ГОСТ Р ЕН 15259-2015
Статус:
Действует
Тип:
ГОСТ Р ЕН
Название русское:
Качество воздуха. Выбросы стационарных источников. Требования к выбору измерительных секций и мест измерений, цели и плану измерений и составлению отчета
Название английское:
Air quality. Measurement of stationary source emissions. Requirements for measurement sections and sites and for the measurement objective, plan and report
Даты и сроки
Дата издания:
12-15-15
Дата введения в действие:
07-01-16
Дата завершения срока действия:
-
Применение и описание
Область и условия применения:
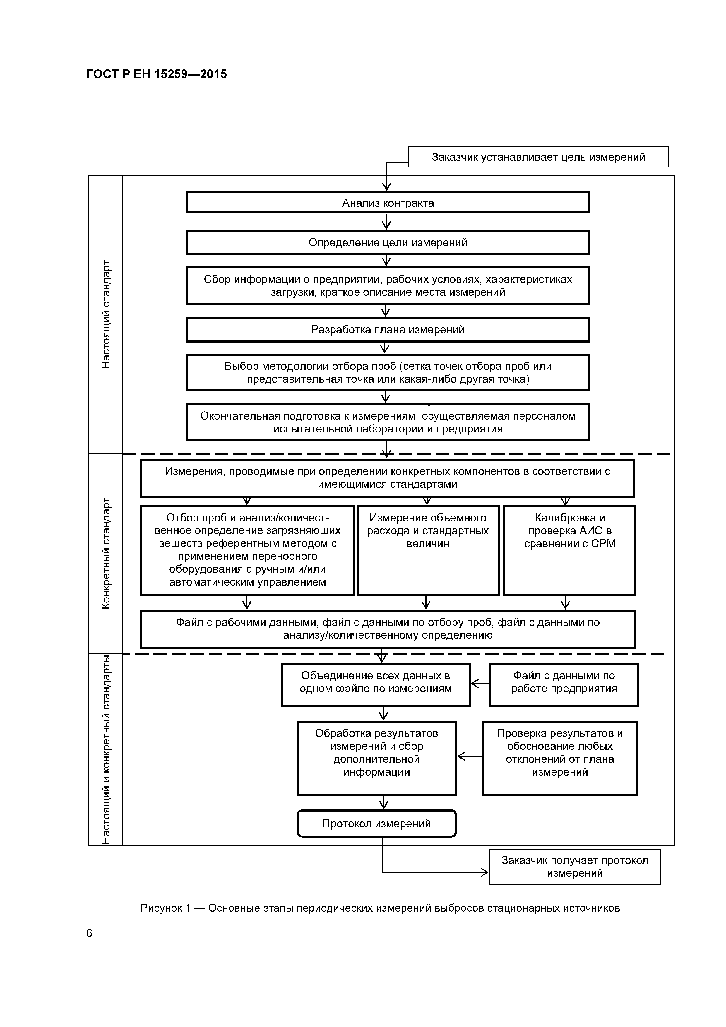
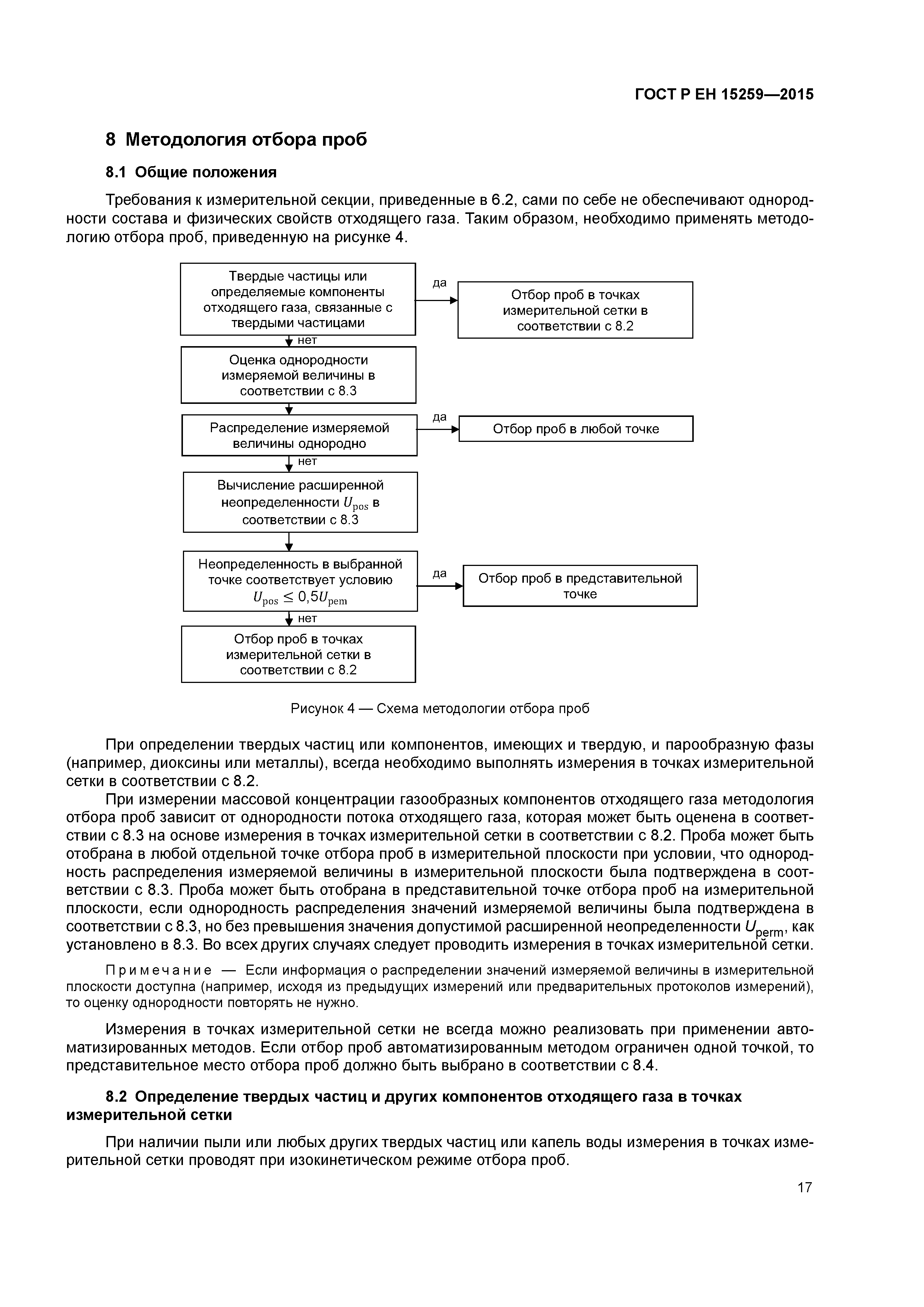
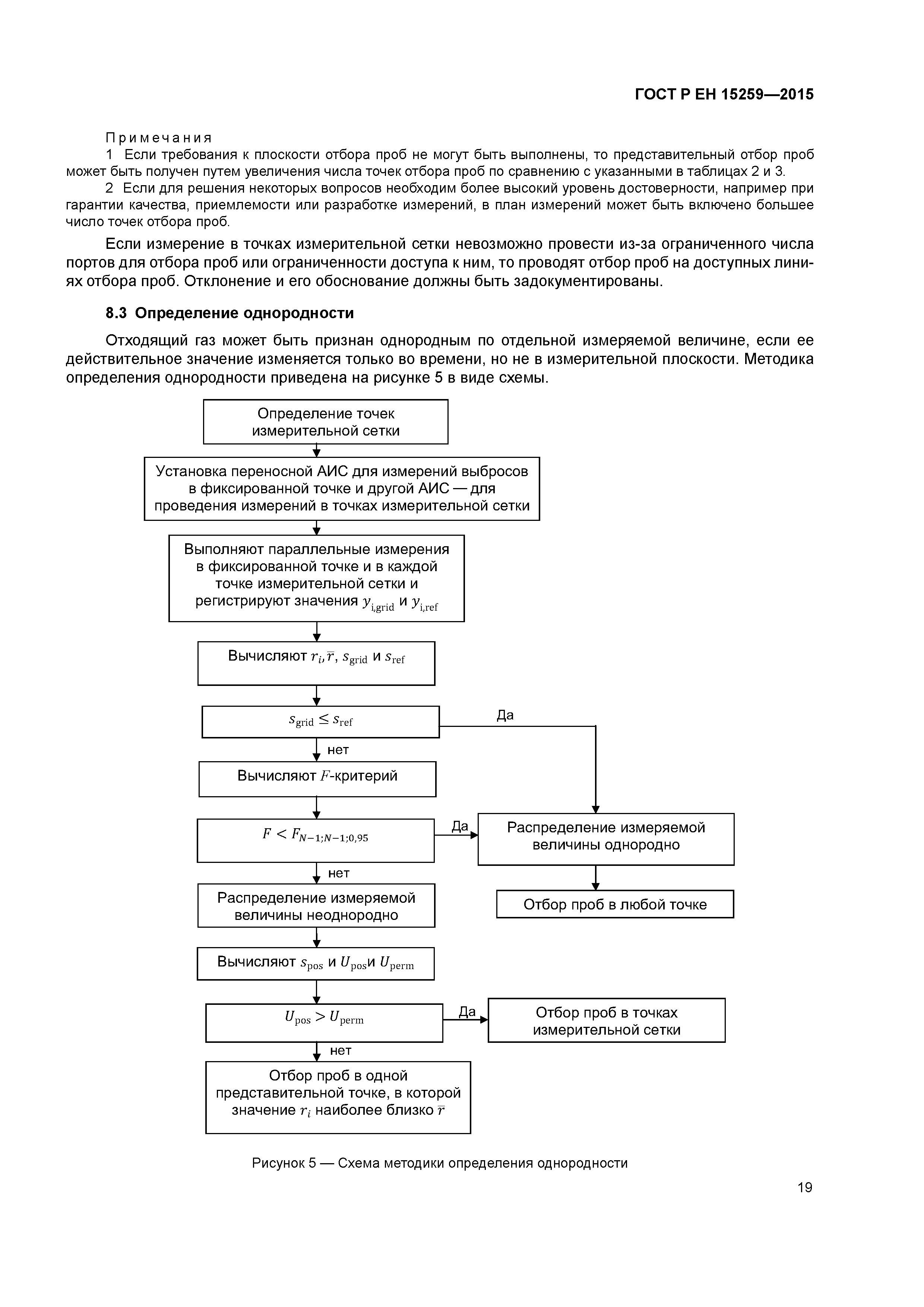
Настоящий стандарт устанавливает требования: а) к измерительным секциям и местам при выполнении измерений выбросов; б) цели измерений, планированию и составлению отчета по измерениям выбросов загрязняющих воздух веществ и других вспомогательных величин в газоходах с отходящими газами промышленных предприятий. Настоящий стандарт применяют при проведении периодических измерений с использованием ручных или автоматизированных референтных методов (РМ). Настоящий стандарт устанавливает общие принципы, применяемые при выполнении измерений выбросов на предприятиях различного типа и для достижения различных целей измерений
Связи и замены
Заменяющий:
-
Описание стандарта
ГОСТ Р ЕН 15259-2015 Качество воздуха. Выбросы стационарных источников. Требования к выбору измерительных секций и мест измерений, цели и плану измерений и составлению отчета
Страницы стандарта
































































