ГОСТ Р 50815-95 Промышленная чистота. Жидкости смазочно-охлаждающие. Требования к чистоте смазочно-охлаждающих жидкостей на операциях круглого наружного и плоского шлифования периферией круга
ГОСТ Р
Скачать ГОСТ в PDF или DOC бесплатно
Основная информация
Обозначение:
ГОСТ Р 50815-95
Статус:
Действует
Тип:
ГОСТ Р
Название русское:
Промышленная чистота. Жидкости смазочно-охлаждающие. Требования к чистоте смазочно-охлаждающих жидкостей на операциях круглого наружного и плоского шлифования периферией круга
Название английское:
Industrial purity. Lubricating and cooling fluids. Requirements for purity of cutting fluids at external cylindrical grinding and surface grinding with the periphery of the wheel
Даты и сроки
Дата издания:
01-01-06
Дата введения в действие:
06-30-96
Дата завершения срока действия:
-
Применение и описание
Область и условия применения:
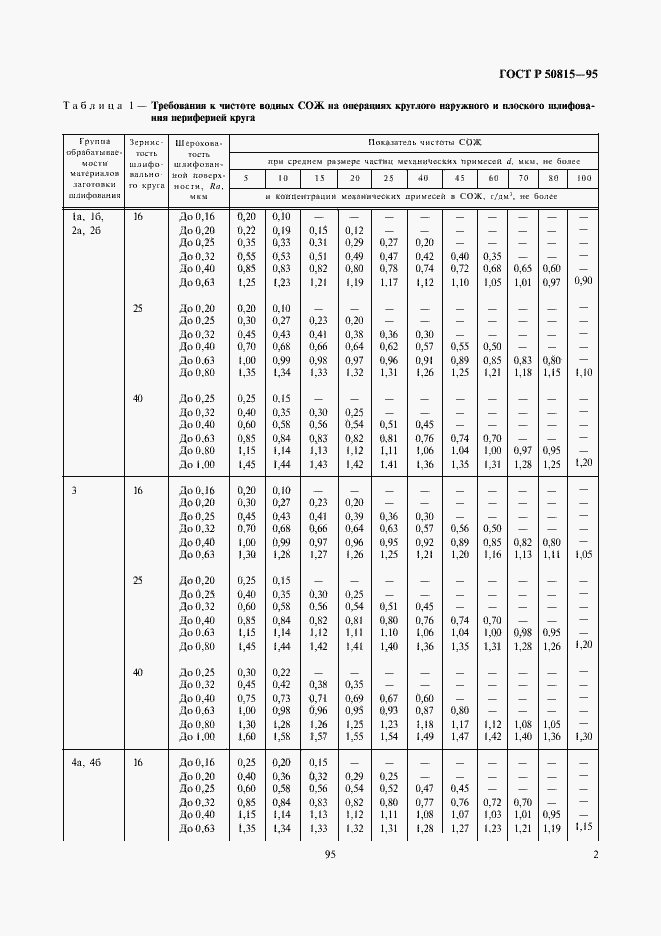
Настоящий стандарт распространяется на водные смазочно-охлаждающие жидкости (СОЖ) - водоэмульсионные, полусинтетические и синтетические, применяемые на операциях круглого наружного и плоского шлифования периферией круга заготовок из сталей и сплавов различной обрабатываемости абразивными кругами, и устанавливает требования к чистоте СОЖ в зависимости от зернистости абразивного инструмента и заданной шероховатости обработанной поверхности
Связи и замены
Заменяющий:
-
Описание стандарта
ГОСТ Р 50815-95 Промышленная чистота. Жидкости смазочно-охлаждающие. Требования к чистоте смазочно-охлаждающих жидкостей на операциях круглого наружного и плоского шлифования периферией круга
Страницы стандарта






