ГОСТ Р 52537-2006 Производство лекарственных средств. Система обеспечения качества. Общие требования
ГОСТ Р
Скачать ГОСТ в PDF или DOC бесплатно
Основная информация
Обозначение:
ГОСТ Р 52537-2006
Статус:
Действует
Тип:
ГОСТ Р
Название русское:
Производство лекарственных средств. Система обеспечения качества. Общие требования
Название английское:
Manufacturing of medicinal product. Quality assurance system. General requirements
Даты и сроки
Дата издания:
05-19-06
Дата введения в действие:
01-01-07
Дата завершения срока действия:
-
Применение и описание
Область и условия применения:
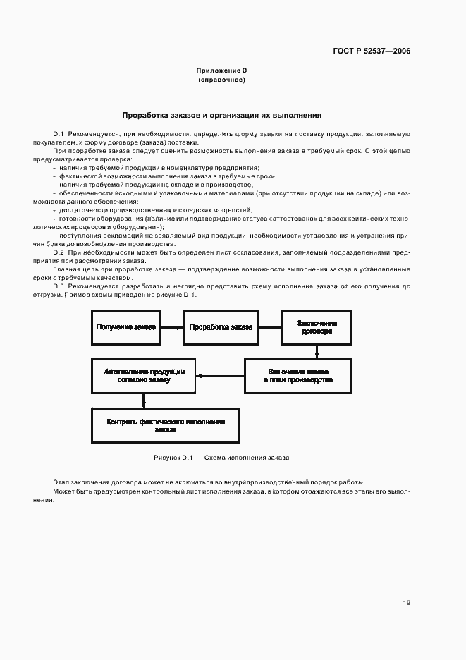
Настоящий стандарт устанавливает требования к системе обеспечения качества при производстве лекарственных средств с целью их гарантированного соответствия техническим регламентам, национальным и межгосударственным стандартам, Государственной Фармакопее, другим нормативным документам, стандартам предприятий и специальным требованиям, задаваемым при регистрации лекарственных средств. Стандарт дополняет системообразующий стандарт ГОСТ Р 52249 и детализирует требования к системе обеспечения качества. Конкретные организационные и технические требования к документации, процессам и оборудованию (стерилизация, подготовка воды, технологическое оборудование, чистые помещения и пр.) рассматриваются в других стандартах
Связи и замены
Заменяющий:
-
Описание стандарта
ГОСТ Р 52537-2006 Производство лекарственных средств. Система обеспечения качества. Общие требования
Страницы стандарта


















































