ГОСТ Р ИСО 24511-2009 Деятельность, связанная с услугами питьевого водоснабжения и удаления сточных вод. Руководящие указания для менеджмента коммунальных предприятий и оценке услуг удаления сточных вод
ГОСТ Р ИСО
Скачать ГОСТ в PDF или DOC бесплатно
Основная информация
Обозначение:
ГОСТ Р ИСО 24511-2009
Статус:
Действует
Тип:
ГОСТ Р ИСО
Название русское:
Деятельность, связанная с услугами питьевого водоснабжения и удаления сточных вод. Руководящие указания для менеджмента коммунальных предприятий и оценке услуг удаления сточных вод
Название английское:
Activities relating to drinking water and wastewater services. Guidelines for the management of wastewater utilities and for the assessment of wastewater services
Даты и сроки
Дата издания:
09-17-19
Дата введения в действие:
01-01-11
Дата завершения срока действия:
-
Применение и описание
Область и условия применения:
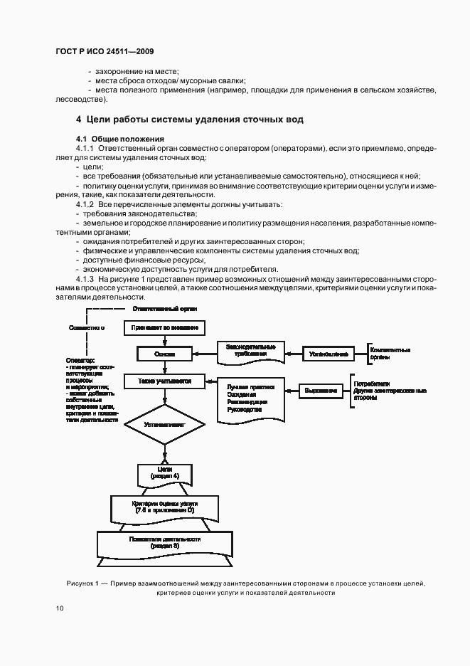
Настоящий стандарт содержит указания по менеджменту систем удаления сточных вод и по оценке услуг по удалению сточных вод. Настоящий стандарт применим к системам удаления сточных вод, находящимся в государственной или частной собственности и под государственным или частным управлением. В нем не отдается предпочтение какой-либо конкретной модели собственности или эксплуатации. В настоящем стандарте системы удаления сточных вод рассматриваются как единое целое, и он применим к системам на любом уровне развития (например, к надворным уборным, локальным системам, сетям, очистным сооружениям)
Связи и замены
Заменяющий:
-
Описание стандарта
ГОСТ Р ИСО 24511-2009 Деятельность, связанная с услугами питьевого водоснабжения и удаления сточных вод. Руководящие указания для менеджмента коммунальных предприятий и оценке услуг удаления сточных вод
Страницы стандарта

















































