ГОСТ Р 51871-2002 Устройства водоочистные. Общие требования к эффективности и методы ее определения
ГОСТ Р
Скачать ГОСТ в PDF или DOC бесплатно
Основная информация
Обозначение:
ГОСТ Р 51871-2002
Статус:
Отменен
Тип:
ГОСТ Р
Название русское:
Устройства водоочистные. Общие требования к эффективности и методы ее определения
Название английское:
Water treatment units. General requirements and methods of efficiency determination
Даты и сроки
Дата издания:
09-07-10
Дата введения в действие:
07-01-03
Дата завершения срока действия:
02-15-15
Применение и описание
Область и условия применения:
Настоящий стандарт распространяется на устройства для доочистки (дообеззараживания) воды централизованных систем и нецентрализованного питьевого водоснабжения, а также очистки (обеззараживания) воды поверхностных и подземных источников водоснабжения, для которых суточный объем очищаемой воды не выше 5 куб. м. в сутки. Настоящий стандарт не распространяется на водоочистные устройства, предназначенные для очистки воды от радиоактивных загрязняющих компонентов, а также на бытовые водоочистные устройства, предназначенные для очистки (обеззараживания) воды поверхностных источников, качество которой не соответствует требованиям СанПиН 2.1.5.980. Требования настоящего стандарта подлежат применению субъектами хозяйственной деятельности на территории РФ независимо от формы их собственности и подчинения
Связи и замены
Заменяющий:
-
Изменения и переиздания
Список изменений:
№0 от (рег. ) «Текстовое изменение; Изменено заглавие»
Описание стандарта
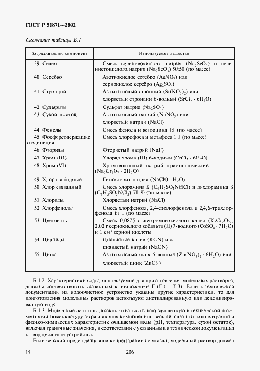
ГОСТ Р 51871-2002 Устройства водоочистные. Общие требования к эффективности и методы ее определения
Страницы стандарта


































