ГОСТ ISO 22036-2014 Качество почвы. Определение микроэлементов в экстрактах почвы с использованием атомно-эмиссионной спектрометрии индуктивно связанной плазмы (ИСП-АЭС)
ГОСТ ИСО
Скачать ГОСТ в PDF или DOC бесплатно
Основная информация
Обозначение:
ГОСТ ISO 22036-2014
Статус:
Действует
Тип:
ГОСТ ИСО
Название русское:
Качество почвы. Определение микроэлементов в экстрактах почвы с использованием атомно-эмиссионной спектрометрии индуктивно связанной плазмы (ИСП-АЭС)
Название английское:
Soil quality. Determination of trace elements in extracts of soil by inductively coupled plasma-atomic emission spectrometry (ICP-AES)
Даты и сроки
Дата регистрации:
05-30-14
Дата издания:
02-02-15
Дата введения в действие:
07-01-15
Дата завершения срока действия:
-
Применение и описание
Область и условия применения:
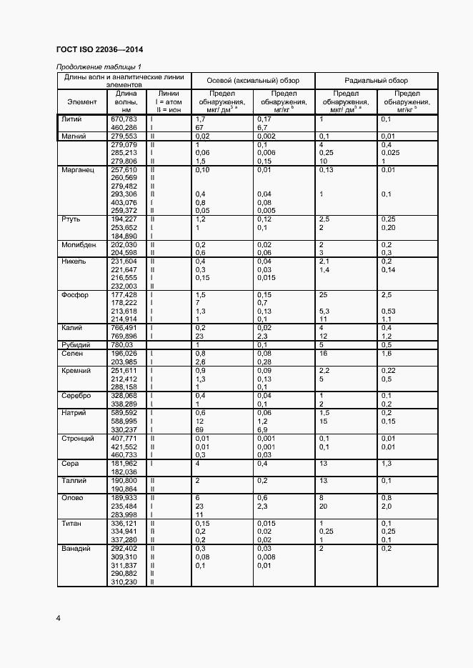
Настоящий стандарт описывает определение микроэлементов в экстрактах после кислотного разложения почв или в почвенных растворах с использованием метода атомно-эмиссионной спектрометрии индуктивно связанной плазмы (ИСП-АЭС) для 34 элементов
Связи и замены
Заменяющий:
-
Описание стандарта
ГОСТ ISO 22036-2014 Качество почвы. Определение микроэлементов в экстрактах почвы с использованием атомно-эмиссионной спектрометрии индуктивно связанной плазмы (ИСП-АЭС)
Страницы стандарта






























