ГОСТ 32646-2014 Методы испытания по воздействию химической продукции на организм человека. Острая ингаляционная токсичность - метод определения класса острой токсичности (метод АТС)
ГОСТ
Скачать ГОСТ в PDF или DOC бесплатно
Основная информация
Обозначение:
ГОСТ 32646-2014
Статус:
Действует
Тип:
ГОСТ
Название русское:
Методы испытания по воздействию химической продукции на организм человека. Острая ингаляционная токсичность - метод определения класса острой токсичности (метод АТС)
Название английское:
OECD guidelines for the testing of chemicals. Acute inhalation toxicity - acute toxic class (ATC) method
Даты и сроки
Дата регистрации:
03-28-14
Дата издания:
09-27-19
Дата введения в действие:
06-01-15
Дата завершения срока действия:
-
Применение и описание
Область и условия применения:
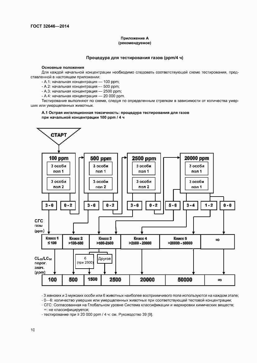
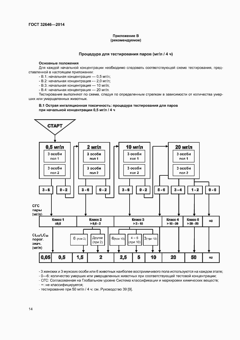
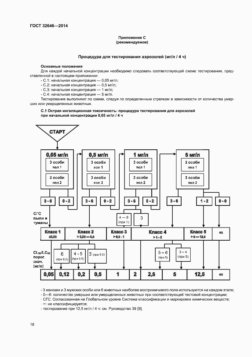
Настоящий метод позволяет получить информацию об опасных свойствах химического вещества и провести классификацию вещества в соответствии с Согласованной на Глобальном уровне Системой классификации и маркировки химических веществ (для веществ, обладающих острой токсичностью). В случае, если требуются анализ зависимости «концентрация - ответ» или оценка величин CL50/LC50, рекомендуется использовать руководство 403. Дальнейшие рекомендации по выбору метода проведения испытаний представлены в GD 39
Связи и замены
Заменяющий:
-
Описание стандарта
ГОСТ 32646-2014 Методы испытания по воздействию химической продукции на организм человека. Острая ингаляционная токсичность - метод определения класса острой токсичности (метод АТС)
Страницы стандарта



























