ГОСТ Р 56932-2016 Руководство по применению критериев классификации опасности химической продукции по воздействию на организм. Острая токсичность при попадании на кожу
ГОСТ Р
Скачать ГОСТ в PDF или DOC бесплатно
Основная информация
Обозначение:
ГОСТ Р 56932-2016
Статус:
Действует
Тип:
ГОСТ Р
Название русское:
Руководство по применению критериев классификации опасности химической продукции по воздействию на организм. Острая токсичность при попадании на кожу
Название английское:
Guidance on the application of the criteria of chemicals classification for health hazard. Acute dermal toxicity
Даты и сроки
Дата издания:
07-25-19
Дата введения в действие:
01-01-17
Дата завершения срока действия:
-
Применение и описание
Область и условия применения:
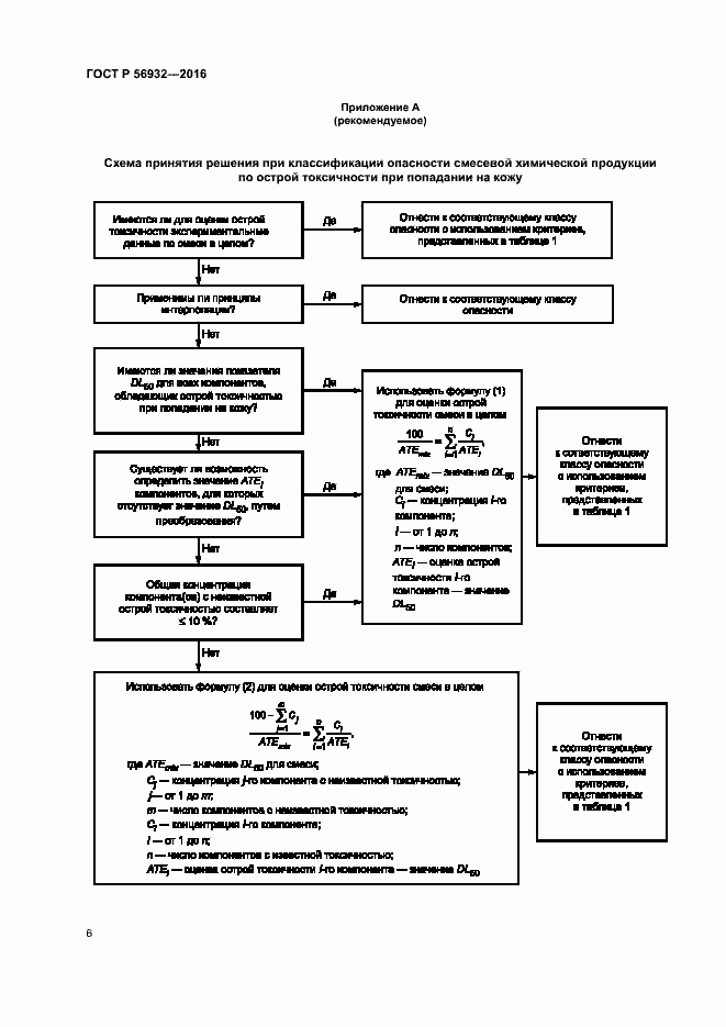
Настоящий стандарт содержит руководящие принципы по выбору наиболее подходящих данных и применению критериев классификации опасности химической продукции, обладающей острой токсичностью по воздействию на организм при попадании на кожу
Связи и замены
Заменяющий:
-
Описание стандарта
ГОСТ Р 56932-2016 Руководство по применению критериев классификации опасности химической продукции по воздействию на организм. Острая токсичность при попадании на кожу
Страницы стандарта














