ГОСТы >
13.100 Безопасность профессиональной деятельности. Промышленная гигиена >
ГОСТ 12.0.230.3-2016
ГОСТ 12.0.230.3-2016 Система стандартов безопасности труда. Системы управления охраной труда. Оценка результативности и эффективности
ГОСТ
Скачать ГОСТ в PDF или DOC бесплатно
Основная информация
Обозначение:
ГОСТ 12.0.230.3-2016
Статус:
Действует
Тип:
ГОСТ
Название русское:
Система стандартов безопасности труда. Системы управления охраной труда. Оценка результативности и эффективности
Название английское:
System of standards for occupational safety. Management systems for occupational safety. Evaluation of effectiveness and efficiency
Даты и сроки
Дата регистрации:
10-25-16
Дата издания:
06-11-19
Дата введения в действие:
01-01-18
Дата завершения срока действия:
-
Применение и описание
Область и условия применения:
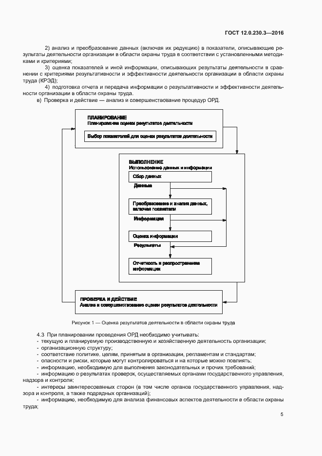
Настоящий стандарт представляет собой руководящие указания по планированию и применению процедур оценки результативности и эффективности деятельности организации в области охраны труда
Связи и замены
Заменяющий:
-
Описание стандарта
ГОСТ 12.0.230.3-2016 Система стандартов безопасности труда. Системы управления охраной труда. Оценка результативности и эффективности
Страницы стандарта


































