ГОСТ Р 22.1.13-2013 Безопасность в чрезвычайных ситуациях. Мероприятия по гражданской обороне, мероприятия по предупреждению чрезвычайных ситуаций природного и техногенного характера. Структурированная система мониторинга и управления инженерными системами зданий и сооружений. Требования к порядку создания и эксплуатации
ГОСТ Р
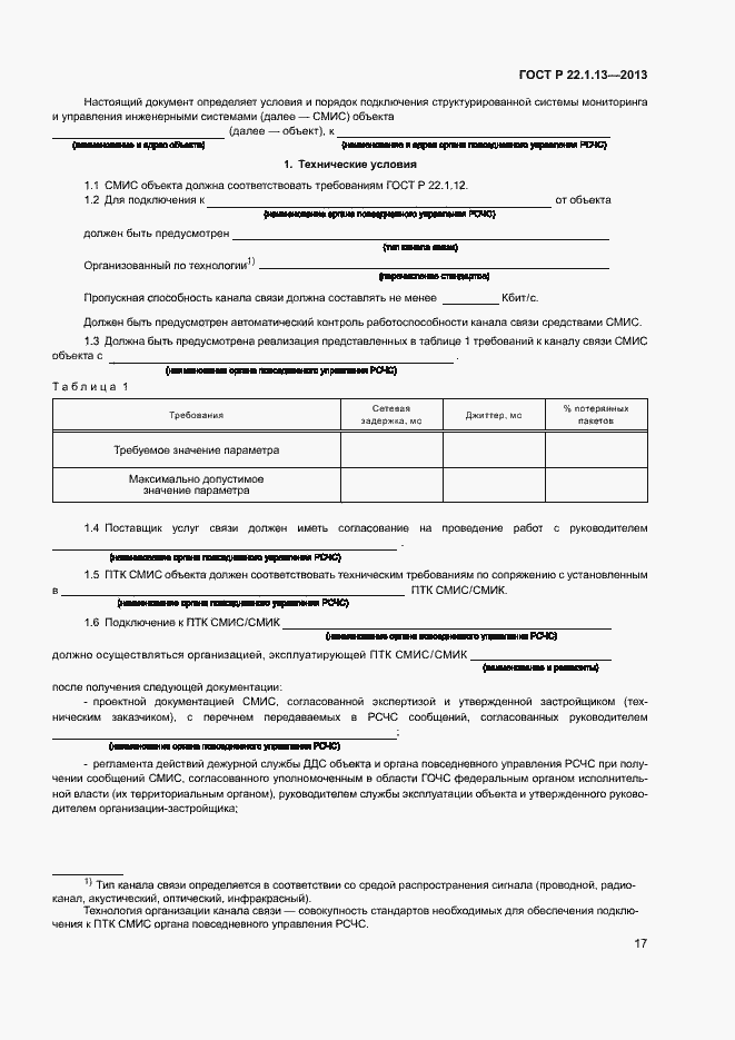
Скачать ГОСТ в PDF или DOC бесплатно
Основная информация
Обозначение:
ГОСТ Р 22.1.13-2013
Статус:
Действует
Тип:
ГОСТ Р
Название русское:
Безопасность в чрезвычайных ситуациях. Мероприятия по гражданской обороне, мероприятия по предупреждению чрезвычайных ситуаций природного и техногенного характера. Структурированная система мониторинга и управления инженерными системами зданий и сооружений. Требования к порядку создания и эксплуатации
Название английское:
Safety in emergencies. Measures for civil defense, measures for prevention of natural and man-caused emergencies. Structured system for monitoring and control of building construction engineering equipment. Rules for construction and operation
Даты и сроки
Дата издания:
12-02-15
Дата введения в действие:
03-01-14
Дата завершения срока действия:
-
Применение и описание
Область и условия применения:
Настоящий стандарт предназначен для применения при разработке перечня мероприятий по гражданской обороне, мероприятий по предупреждению чрезвычайных ситуаций природного и техногенного характера в составе проектной документации на объекты капитального строительства, а также в составе проектной документации в отношении отдельных этапов строительства, реконструкции и капитального ремонта объектов капитального строительства
Связи и замены
Заменяющий:
-
Описание стандарта
ГОСТ Р 22.1.13-2013 Безопасность в чрезвычайных ситуациях. Мероприятия по гражданской обороне, мероприятия по предупреждению чрезвычайных ситуаций природного и техногенного характера. Структурированная система мониторинга и управления инженерными системами зданий и сооружений. Требования к порядку создания и эксплуатации
Страницы стандарта






























