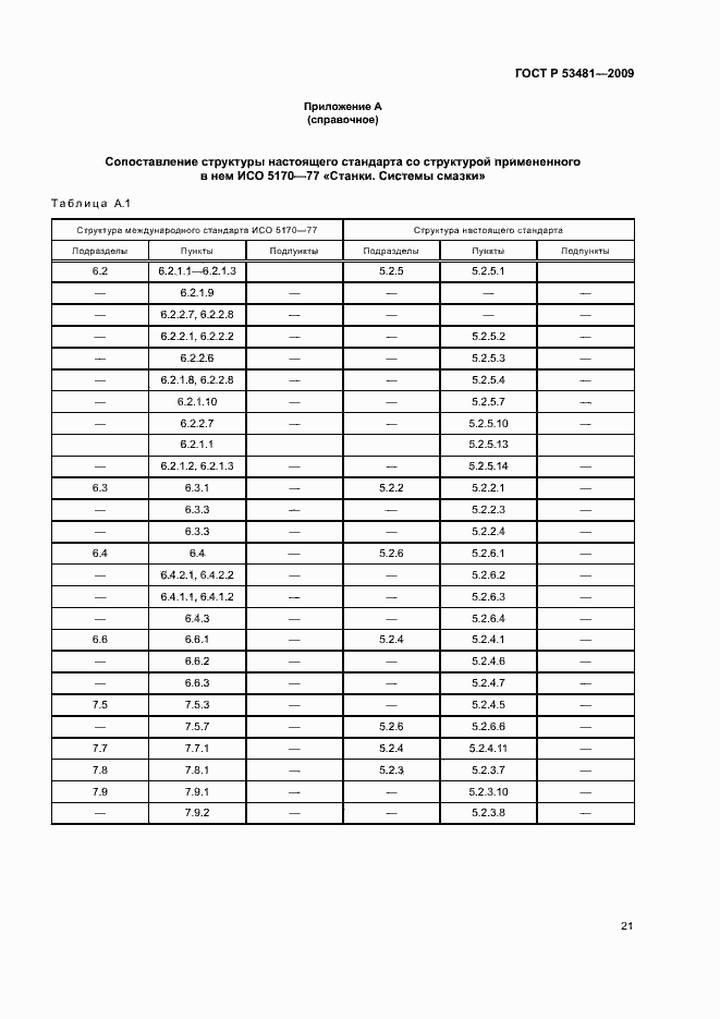
ГОСТ Р 53481-2009 Системы смазочные. Требования безопасности
ГОСТ Р
Скачать ГОСТ в PDF или DOC бесплатно
Основная информация
Обозначение:
ГОСТ Р 53481-2009
Статус:
Действует
Тип:
ГОСТ Р
Название русское:
Системы смазочные. Требования безопасности
Название английское:
Lubrication systems. Safety requirements
Даты и сроки
Дата издания:
08-12-19
Дата введения в действие:
01-01-11
Дата завершения срока действия:
-
Применение и описание
Область и условия применения:
Настоящий стандарт распространяется на смазочные системы и входящие в их состав устройства для подведения жидкого или пластичного смазочного материала к поверхностям трения машин и механизмов. В настоящем стандарте перечислены опасности и факторы, которые возникают при работе смазочных систем и влияют на безопасность машин при нарушении условий и правил эксплуатации, указаны предельные нормы требований при проектировании и эксплуатации и мероприятия по их обеспечению
Связи и замены
Заменяющий:
-
Описание стандарта
ГОСТ Р 53481-2009 Системы смазочные. Требования безопасности
Страницы стандарта



























