ГОСТ Р МЭК 61784-1-2016 Промышленные сети. Профили. Часть 1. Профили полевых шин
ГОСТ Р МЭК
Скачать ГОСТ в PDF или DOC бесплатно
Основная информация
Обозначение:
ГОСТ Р МЭК 61784-1-2016
Статус:
Действует
Тип:
ГОСТ Р МЭК
Название русское:
Промышленные сети. Профили. Часть 1. Профили полевых шин
Название английское:
Industrial communications networks. Profiles. Part 1. Fieldbus profiles
Даты и сроки
Дата издания:
02-06-17
Дата введения в действие:
01-01-18
Дата завершения срока действия:
-
Применение и описание
Область и условия применения:
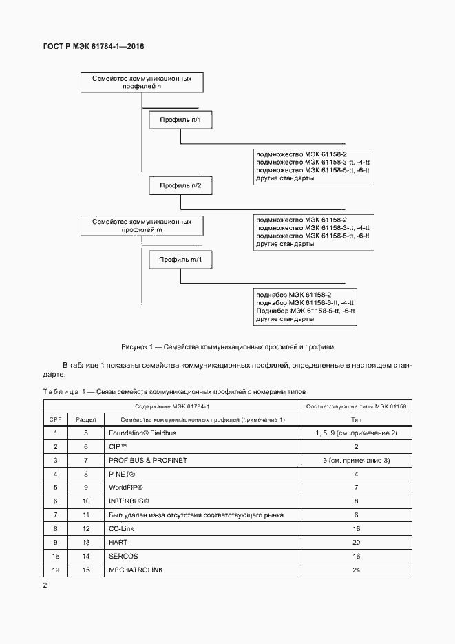
Настоящий стандарт определяет набор протоколов конкретных коммуникационных профилей, основанных, прежде всего на сериях МЭК 61158, для использования при проектировании устройств, применяемых для передачи данных в системах управления промышленных предприятий
Связи и замены
Заменяющий:
-
Описание стандарта
ГОСТ Р МЭК 61784-1-2016 Промышленные сети. Профили. Часть 1. Профили полевых шин
Страницы стандарта











































































































































































































































































































































