ГОСТ EN 1005-4-2013 Безопасность машин. Физические возможности человека. Часть 4. Положение тела при работе с машинами и механизмами
ГОСТ ЕН
Скачать ГОСТ в PDF или DOC бесплатно
Основная информация
Обозначение:
ГОСТ EN 1005-4-2013
Статус:
Действует
Тип:
ГОСТ ЕН
Название русское:
Безопасность машин. Физические возможности человека. Часть 4. Положение тела при работе с машинами и механизмами
Название английское:
Safety of machinery. Human physical performance. Part 4. Evaluation of working postures and movements in relation to machinery
Даты и сроки
Дата регистрации:
11-05-13
Дата издания:
11-29-19
Дата введения в действие:
01-01-15
Дата завершения срока действия:
-
Применение и описание
Область и условия применения:
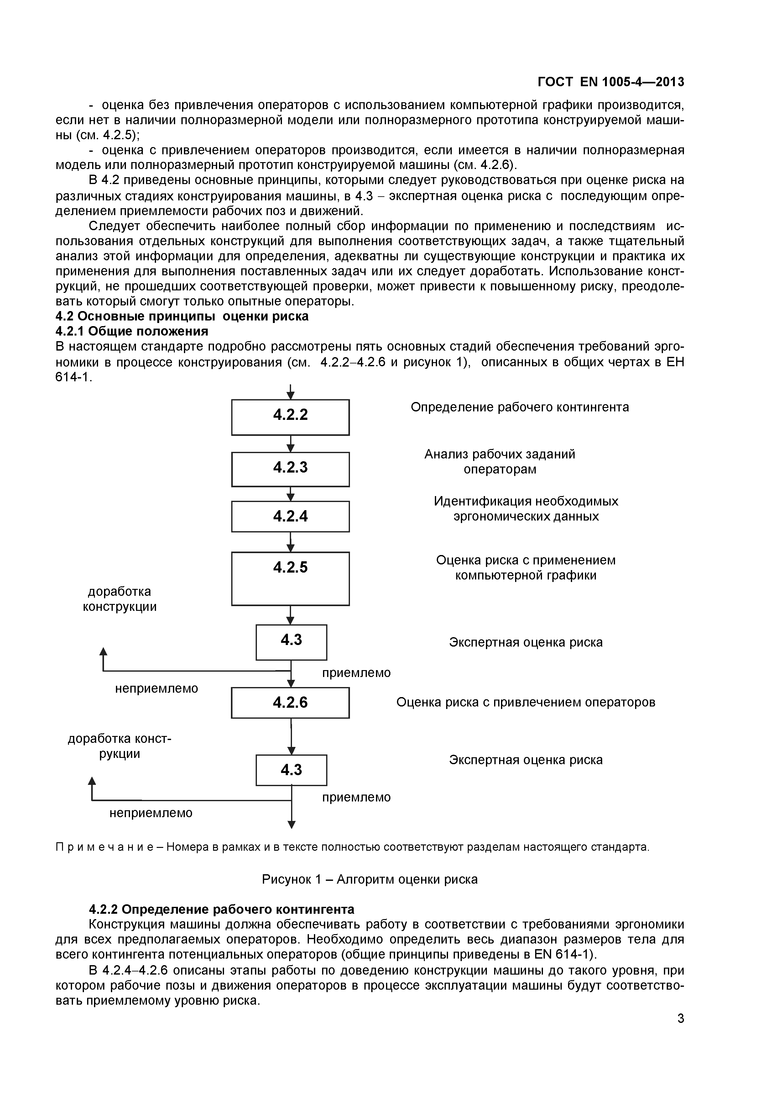
В настоящем стандарте приведены рекомендации по оценке рисков для здоровья операторов и установлены требования для рабочих поз и движений операторов в процессе эксплуатации машины в течение всего ее жизненного цикла, включая монтаж, установку, рабочий процесс, регулировку, техническое обслуживание, очистку, ремонт, транспортирование и демонтаж, которые следует учитывать при проектирования машин или их составных частей. Настоящий стандарт устанавливает требования для рабочих поз и движений без учета воздействия внешних сил или при минимальном их воздействии. Эти требования должны обеспечивать снижение рисков для здоровья всех операторов. Настоящий стандарт распространяется на все машины, изготовленные после даты его введения
Связи и замены
Заменяющий:
-
Описание стандарта
ГОСТ EN 1005-4-2013 Безопасность машин. Физические возможности человека. Часть 4. Положение тела при работе с машинами и механизмами
Страницы стандарта



















