ГОСТ ИСО/ТО 12100-1-2001 Безопасность оборудования. Основные понятия, общие принципы конструирования. Часть 1. Основные термины, методика
ГОСТ ИСО/ТО
Скачать ГОСТ в PDF или DOC бесплатно
Основная информация
Обозначение:
ГОСТ ИСО/ТО 12100-1-2001
Статус:
Утратил силу в РФ
Тип:
ГОСТ ИСО/ТО
Название русское:
Безопасность оборудования. Основные понятия, общие принципы конструирования. Часть 1. Основные термины, методика
Название английское:
Safety of machinery. Basic concepts, general principles for design. Part 1. Basic terms, procedure
Даты и сроки
Дата регистрации:
05-24-01
Дата издания:
06-01-04
Дата введения в действие:
07-01-03
Дата завершения срока действия:
07-01-08
Применение и описание
Область и условия применения:
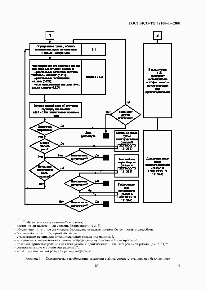
Настоящий стандарт устанавливает основные термины и определения понятий в области безопасности оборудования и общие принципы конструирования, позволяющие разработчикам и изготовителям достичь безопасности оборудования производственного и непроизводственного назначения
Связи и замены
Заменяющий:
-
Изменения и переиздания
Список изменений:
№0 от (рег. ) «Дата введения перенесена» №0 от (рег. ) «Поправка к изменению»
Описание стандарта
ГОСТ ИСО/ТО 12100-1-2001 Безопасность оборудования. Основные понятия, общие принципы конструирования. Часть 1. Основные термины, методика
Страницы стандарта
























Приложение №2: Поправка к ГОСТ ИСО/ТО 12100-1-2001 Обозначение: Поправка к ГОСТ ИСО/ТО 12100-1-2001 Дата введения в действие: 01.11.2002
