ГОСТ Р ЕН 1005-3-2010 Безопасность машин. Физические возможности человека. Часть 3. Рекомендуемые пределы усилий при работе на машинах
ГОСТ Р ЕН
Скачать ГОСТ в PDF или DOC бесплатно
Основная информация
Обозначение:
ГОСТ Р ЕН 1005-3-2010
Статус:
Действует
Тип:
ГОСТ Р ЕН
Название русское:
Безопасность машин. Физические возможности человека. Часть 3. Рекомендуемые пределы усилий при работе на машинах
Название английское:
Safety of machinery. Human physical performance. Part 3. Recommended force limits for machinery operation
Даты и сроки
Дата издания:
08-26-19
Дата введения в действие:
07-01-11
Дата завершения срока действия:
-
Применение и описание
Область и условия применения:
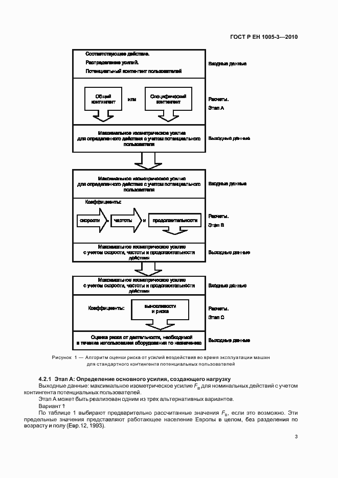
Настоящий стандарт представляет собой руководство для изготовителя оборудования или его составных частей и предписание для стандарта типа C в части контроля рисков для здоровья из-за мускульных усилий, имеющих отношение к станку
Связи и замены
Заменяющий:
-
Описание стандарта
ГОСТ Р ЕН 1005-3-2010 Безопасность машин. Физические возможности человека. Часть 3. Рекомендуемые пределы усилий при работе на машинах
Страницы стандарта























