ГОСТ Р ИСО/МЭК ТО 13335-4-2007 Информационная технология. Методы и средства обеспечения безопасности. Часть 4. Выбор защитных мер
ГОСТ Р ИСО/МЭК ТО
Скачать ГОСТ в PDF или DOC бесплатно
Основная информация
Обозначение:
ГОСТ Р ИСО/МЭК ТО 13335-4-2007
Статус:
Заменен
Тип:
ГОСТ Р ИСО/МЭК ТО
Название русское:
Информационная технология. Методы и средства обеспечения безопасности. Часть 4. Выбор защитных мер
Название английское:
Information technology. Security techniques. Part 4. Selection of safeguards
Даты и сроки
Дата издания:
09-19-07
Дата введения в действие:
09-01-07
Дата завершения срока действия:
12-01-11
Применение и описание
Область и условия применения:
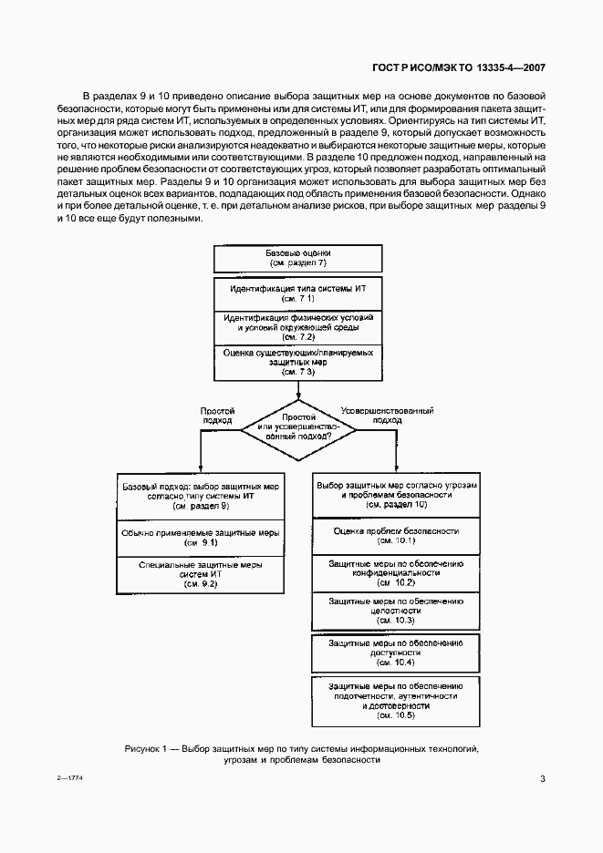
Настоящий стандарт является руководством по выбору защитных мер с учетом потребностей и проблем безопасности организации. В настоящем стандарте описан процесс выбора защитных мер в соответствии с риском системы безопасности и с учетом особенностей окружающей среды. Настоящий стандарт устанавливает способы достижения соответствующей защиты на основе базового уровня безопасности. Приведенный в настоящем стандарте подход к выбору защитных мер согласован с методами управления безопасностью информационных технологий, приведенными в ИСО/МЭК ТО 13335-3
Связи и замены
Заменяющий:
ГОСТ Р ИСО/МЭК 27005-2010
Описание стандарта
ГОСТ Р ИСО/МЭК ТО 13335-4-2007 Информационная технология. Методы и средства обеспечения безопасности. Часть 4. Выбор защитных мер
Страницы стандарта
































































