ГОСТ Р ИСО 13849-1-2003 Безопасность оборудования. Элементы систем управления, связанные с безопасностью. Часть 1. Общие принципы конструирования
ГОСТ Р ИСО
Скачать ГОСТ в PDF или DOC бесплатно
Основная информация
Обозначение:
ГОСТ Р ИСО 13849-1-2003
Статус:
Действует
Тип:
ГОСТ Р ИСО
Название русское:
Безопасность оборудования. Элементы систем управления, связанные с безопасностью. Часть 1. Общие принципы конструирования
Название английское:
Safety of machinery. Safety-related parts of control systems. Part 1. General principles for design
Даты и сроки
Дата издания:
03-01-04
Дата введения в действие:
01-01-05
Дата завершения срока действия:
-
Применение и описание
Область и условия применения:
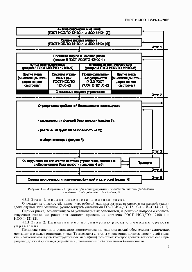
Настоящий стандарт устанавливает требования безопасности и общие принципы конструирования элементов систем управления, связанных с обеспечением безопасности. Стандарт определяет категории элементов систем управления и описывает характеристики их функций безопасности, включая программируемые системы, для любого оборудования (машины) производственного и непроизводственного назначения и для предохранительных и (или) защитных устройств, относящихся к этому оборудованию (машине). Настоящий стандарт не устанавливает, какие функции безопасности и какие категории должны применяться в каждом конкретном случае. Стандарт распространяется на любые элементы систем управления, связанные с обеспечением безопасности, независимо от вида используемой энергии, например, электрической, гидравлической, пневматической, механической. Настоящий стандарт применим также к элементам систем управления, которые используют для других технических целей
Связи и замены
Заменяющий:
-
Описание стандарта
ГОСТ Р ИСО 13849-1-2003 Безопасность оборудования. Элементы систем управления, связанные с безопасностью. Часть 1. Общие принципы конструирования
Страницы стандарта































