ГОСТ Р МЭК 61508-1-2007 Функциональная безопасность систем электрических, электронных, программируемых электронных, связанных с безопасностью. Часть 1. Общие требования
ГОСТ Р МЭК
Скачать ГОСТ в PDF или DOC бесплатно
Основная информация
Обозначение:
ГОСТ Р МЭК 61508-1-2007
Статус:
Заменен
Тип:
ГОСТ Р МЭК
Название русское:
Функциональная безопасность систем электрических, электронных, программируемых электронных, связанных с безопасностью. Часть 1. Общие требования
Название английское:
Functional safety of electrical, electronic, programmable electronic safety-related systems. Part 1. General requirements
Даты и сроки
Дата издания:
08-07-08
Дата введения в действие:
06-01-08
Дата завершения срока действия:
08-01-13
Применение и описание
Область и условия применения:
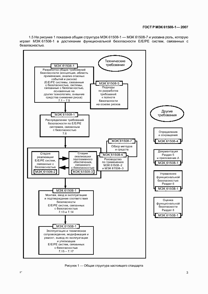
Настоящий стандарт охватывает вопросы, которые должны учитываться при использовании электрических, электронных, программируемых электронных систем для выполнения функций безопасности. Главная цель настоящего стандарта является облегчить техническим комитетам разработку стандартов. Это позволит полностью учесть существенные факторы, связанные с решаемыми задачами, и, таким образом, удовлетворить конкретные потребности области применения. Другая цель настоящего стандарта заключается в том, чтобы сделать возможной разработку электрических, электронных, программируемых электронных систем, связанных с безопасностью, в условиях возможного отсутствия стандартов для областей применения. Настоящий стандарт применяется к системам, связанным с безопасностью, когда одна или несколько таких систем включают в себя электрические, электронные, программируемые электронные устройства
Связи и замены
Заменяющий:
ГОСТ Р МЭК 61508-1-2012
Описание стандарта
ГОСТ Р МЭК 61508-1-2007 Функциональная безопасность систем электрических, электронных, программируемых электронных, связанных с безопасностью. Часть 1. Общие требования
Страницы стандарта

















































