ГОСТ Р 51344-99 Безопасность машин. Принципы оценки и определения риска
ГОСТ Р
Скачать ГОСТ в PDF или DOC бесплатно
Основная информация
Обозначение:
ГОСТ Р 51344-99
Статус:
Отменен
Тип:
ГОСТ Р
Название русское:
Безопасность машин. Принципы оценки и определения риска
Название английское:
Safety of machinery. Principles for risk assessment
Даты и сроки
Дата издания:
04-01-04
Дата введения в действие:
07-01-00
Дата завершения срока действия:
01-01-15
Применение и описание
Область и условия применения:
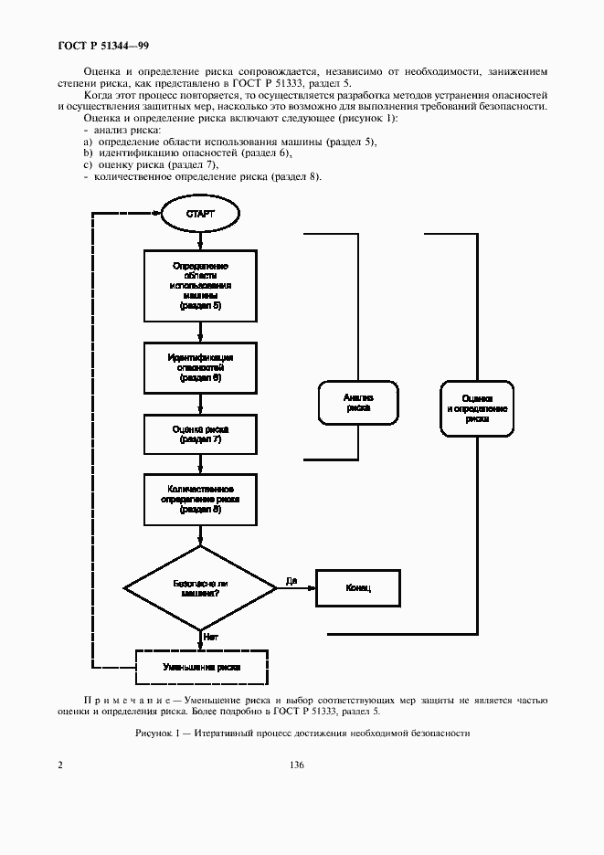
Настоящий стандарт устанавливает основные принципы оценки и определения риска, в которых объединены знания и опыт в области конструирования и эксплуатации машин, несчастных случаев, аварий и поражений для того, чтобы определить сумму рисков на всех стадиях жизни машины
Связи и замены
Заменяющий:
-
Изменения и переиздания
Список изменений:
№0 от (рег. ) «Текстовое изменение; Изменено заглавие»
Описание стандарта
ГОСТ Р 51344-99 Безопасность машин. Принципы оценки и определения риска
Страницы стандарта


















