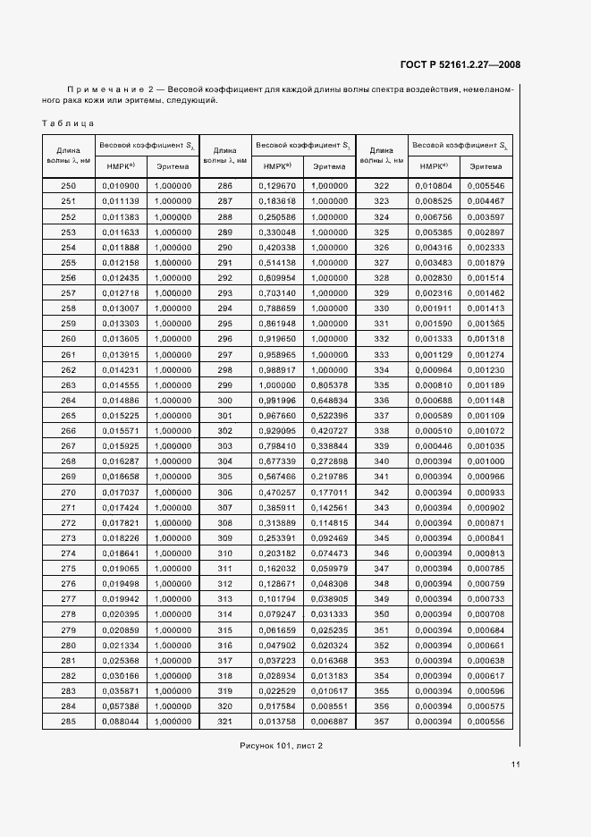
ГОСТ Р 52161.2.27-2008 Безопасность бытовых и аналогичных электрических приборов. Часть 2-27. Частные требования к приборам ультрафиолетового и инфракрасного излучений для ухода за кожей
ГОСТ Р
Скачать ГОСТ в PDF или DOC бесплатно
Основная информация
Обозначение:
ГОСТ Р 52161.2.27-2008
Статус:
Отменен
Тип:
ГОСТ Р
Название русское:
Безопасность бытовых и аналогичных электрических приборов. Часть 2-27. Частные требования к приборам ультрафиолетового и инфракрасного излучений для ухода за кожей
Название английское:
Safety of household and similar electrical appliances. Part 2.27. Particular requirements for appliances for skin exposure to ultraviolet and infrared radiation
Даты и сроки
Дата издания:
03-02-09
Дата введения в действие:
01-01-10
Дата завершения срока действия:
01-01-14
Применение и описание
Область и условия применения:
Настоящий стандарт устанавливает требования безопасности к электрическим приборам, имеющим излучатели, предназначенные для ухода за кожей ультрафиолетовыми и инфракрасными лучами бытового и аналогичного применения номинальным напряжением не более: 250 В - для однофазных приборов и 480 В - для других приборов. Приборы, не предназначенные для бытового использования, но которые, тем не менеее, могут быть источником опасности для людей, например приборы, предназначенные для использования в соляриях, салонах красоты и аналогичных местах, входят в область распространения настоящего стандарта. Настоящий стандарт устанавливает основные виды опасностей при использовании приборов, с которыми люди сталкиваются внутри и вне дома. Настоящий стандарт не учитывает опасностей, возникающих в случае: - использование приборов без надзора и инструкций людьми (включая детей), у которых есть физические, нервные или психические отклонения или недостаток опыта и знаний, препятствующие безопасной эксплуатации прибора без надзора и инструкций; - использование приборов детьми для игр
Связи и замены
Заменяющий:
-
Взамен:
ГОСТ Р МЭК 60335-2-27-2000
Изменения и переиздания
Список изменений:
№0 от (рег. ) «Текстовое изменение; Изменено заглавие»
Описание стандарта
ГОСТ Р 52161.2.27-2008 Безопасность бытовых и аналогичных электрических приборов. Часть 2-27. Частные требования к приборам ультрафиолетового и инфракрасного излучений для ухода за кожей
Страницы стандарта























