ГОСТ 33539-2015 Карантин растений. Методы выявления и идентификации вируса Т картофеля
ГОСТ
Скачать ГОСТ в PDF или DOC бесплатно
Основная информация
Обозначение:
ГОСТ 33539-2015
Статус:
Действует
Тип:
ГОСТ
Название русское:
Карантин растений. Методы выявления и идентификации вируса Т картофеля
Название английское:
Plant quarantine. Methods of detection and identification of Potato virus T
Даты и сроки
Дата регистрации:
09-29-15
Дата издания:
01-25-19
Дата введения в действие:
01-01-17
Дата завершения срока действия:
-
Применение и описание
Область и условия применения:
Настоящий стандарт распространяется на растения картофеля Solanum tuberosum Linnaeus (далее - растения) и устанавливает методы выявления и идентификации (далее - исследование) вируса Т картофеля Potato virus T (далее - вирус Т картофеля)
Связи и замены
Заменяющий:
-
Описание стандарта
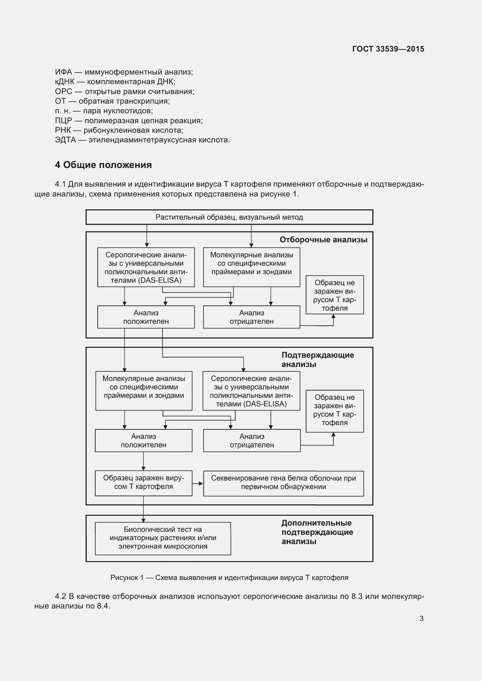
ГОСТ 33539-2015 Карантин растений. Методы выявления и идентификации вируса Т картофеля
Страницы стандарта


























Приложение №1: Поправка к ГОСТ 33539-2015 Обозначение: Поправка к ГОСТ 33539-2015 Дата введения в действие: 12.08.2019

Приложение №2: Поправка к ГОСТ 33539-2015 Обозначение: Поправка к ГОСТ 33539-2015 Дата введения в действие: 03.08.2022
