ГОСТ Р ИСО 17287-2014 Эргономика транспортных средств. Эргономические аспекты информационно-управляющей системы. Процедура оценки пригодности для использования во время управления транспортным средством
ГОСТ Р ИСО
Скачать ГОСТ в PDF или DOC бесплатно
Основная информация
Обозначение:
ГОСТ Р ИСО 17287-2014
Статус:
Действует
Тип:
ГОСТ Р ИСО
Название русское:
Эргономика транспортных средств. Эргономические аспекты информационно-управляющей системы. Процедура оценки пригодности для использования во время управления транспортным средством
Название английское:
Ergonomics of vehicles. Ergonomic aspects it is information operating system. Procedure of an estimation of suitability for use during management of a vehicle
Даты и сроки
Дата издания:
10-25-19
Дата введения в действие:
12-01-15
Дата завершения срока действия:
-
Применение и описание
Область и условия применения:
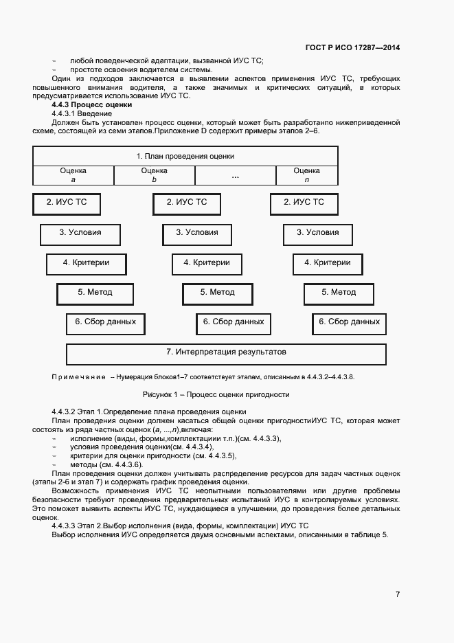
Настоящий стандарт определяет процедуру оценки пригодности информационно-управляющей системы транспортного средства или сочетания информационно-управляющей системы с другими автомобильными системами с точки зрения использования водителями в процессе управления информационно-управляющей системы транспортного средства. Стандарт охватывает: описание ориентированной на пользователя информационно-управляющей системы транспортного средства и условия ее использования; - описание и анализ задач информационно-управляющей системы транспортного средства; - порядок проведения оценки; - обеспечение документацией. Описание информационно-управляющей системы транспортного средства и условия ее использования включают в себя рассмотрение неправильного применения, обоснованно прогнозируемого неправильного применения и отказа информационно-управляющей системы транспортного средства. Описание, анализ и оценка информационно-управляющей системы транспортного средства включают в себя порядок определения и решения проблем пригодности. В настоящем стандарте не рассматриваются конкретные показатели оценки пригодности и параметры установления пригодности использования информационно-управляющей системы в процессе управления транспортным средством
Связи и замены
Заменяющий:
-
Описание стандарта
ГОСТ Р ИСО 17287-2014 Эргономика транспортных средств. Эргономические аспекты информационно-управляющей системы. Процедура оценки пригодности для использования во время управления транспортным средством
Страницы стандарта






























