ГОСТ Р ИСО 11064-5-2015 Эргономическое проектирование центров управления. Часть 5. Дисплеи и элементы управления
ГОСТ Р ИСО
Скачать ГОСТ в PDF или DOC бесплатно
Основная информация
Обозначение:
ГОСТ Р ИСО 11064-5-2015
Статус:
Действует
Тип:
ГОСТ Р ИСО
Название русское:
Эргономическое проектирование центров управления. Часть 5. Дисплеи и элементы управления
Название английское:
Ergonomic design of control centres. Part 5. Displays and controls
Даты и сроки
Дата издания:
08-13-19
Дата введения в действие:
12-01-16
Дата завершения срока действия:
-
Применение и описание
Область и условия применения:
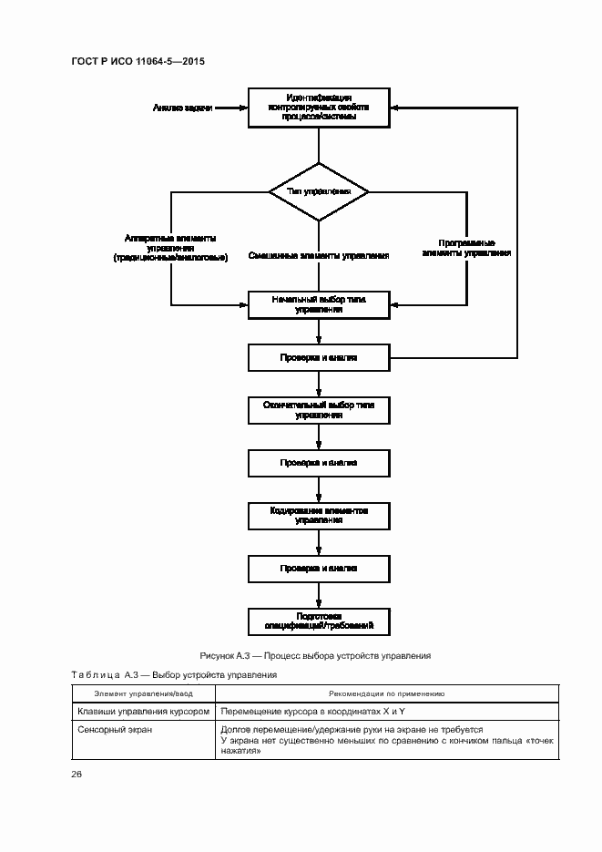
В настоящем стандарте установлены принципы, рекомендации и требования к дисплеям, элементам управления и их взаимодействию при проектировании аппаратного и программного обеспечения центра управления
Связи и замены
Заменяющий:
-
Описание стандарта
ГОСТ Р ИСО 11064-5-2015 Эргономическое проектирование центров управления. Часть 5. Дисплеи и элементы управления
Страницы стандарта









































