ГОСТ Р ИСО 11064-2-2015 Эргономическое проектирование центров управления. Часть 2. Принципы организации комплексов управления
ГОСТ Р ИСО
Скачать ГОСТ в PDF или DOC бесплатно
Основная информация
Обозначение:
ГОСТ Р ИСО 11064-2-2015
Статус:
Действует
Тип:
ГОСТ Р ИСО
Название русское:
Эргономическое проектирование центров управления. Часть 2. Принципы организации комплексов управления
Название английское:
Ergonomic design of control centres. Part 2. Principles for the arrangement of control suites
Даты и сроки
Дата издания:
08-27-19
Дата введения в действие:
12-01-16
Дата завершения срока действия:
-
Применение и описание
Область и условия применения:
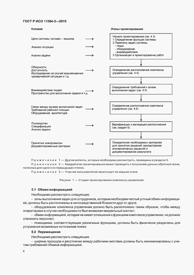
В настоящем стандарте установлены принципы эргономического проектирования центров управления и, в частности, компоновки помещений и пространства комплекса управления. Принципы основаны на анализе функций и задач, для решения которых используют зал управления и функционально связанные с ним помещения. Настоящий стандарт включает в себя идентификацию функциональных зон, вычисление необходимого пространства для каждой функциональной зоны, определение функциональных связей между ними и разработку предварительной компоновки комплекса управления с целью содействия выполнению всех видов деятельности комплекса управления
Связи и замены
Заменяющий:
-
Описание стандарта
ГОСТ Р ИСО 11064-2-2015 Эргономическое проектирование центров управления. Часть 2. Принципы организации комплексов управления
Страницы стандарта















