ГОСТ Р ИСО 20282-1-2011 Эргономика изделий повседневного использования. Часть 1. Требования к конструкции элементов управления с учетом условий использования и характеристик пользователя
ГОСТ Р ИСО
Скачать ГОСТ в PDF или DOC бесплатно
Основная информация
Обозначение:
ГОСТ Р ИСО 20282-1-2011
Статус:
Действует
Тип:
ГОСТ Р ИСО
Название русское:
Эргономика изделий повседневного использования. Часть 1. Требования к конструкции элементов управления с учетом условий использования и характеристик пользователя
Название английское:
Ergonomics of everyday products. Part 1. Design requirements for controls with respect to context of use and user characteristics
Даты и сроки
Дата издания:
08-27-19
Дата введения в действие:
12-01-12
Дата завершения срока действия:
-
Применение и описание
Область и условия применения:
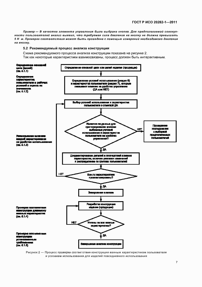
Настоящий стандарт устанавливает требования к разработке удобных в управлении изделий повседневного использования с учетом характеристик пользователей и условий использования в тех случаях, когда удобство управления пользовательским интерфейсом характеризуют таким показателем как пригодность использования. В стандарте приведены также рекомендации по выполнению этих требований. Настоящий стандарт предназначен для применения при разработке изделий повседневного использования, для которых в стандарте: - определено понятие удобства управления; - установлены важные аспекты условий использования; - установлены характеристики предполагаемой совокупности пользователей, влияющие на пригодность использования
Связи и замены
Заменяющий:
-
Описание стандарта
ГОСТ Р ИСО 20282-1-2011 Эргономика изделий повседневного использования. Часть 1. Требования к конструкции элементов управления с учетом условий использования и характеристик пользователя
Страницы стандарта



























