ГОСТ Р ИСО 14738-2007 Безопасность машин. Антропометрические требования при проектировании рабочих мест машин
ГОСТ Р ИСО
Скачать ГОСТ в PDF или DOC бесплатно
Основная информация
Обозначение:
ГОСТ Р ИСО 14738-2007
Статус:
Действует
Тип:
ГОСТ Р ИСО
Название русское:
Безопасность машин. Антропометрические требования при проектировании рабочих мест машин
Название английское:
Safety of machinery. Anthropometric requirements for the design of workstations at machinery
Даты и сроки
Дата издания:
04-16-08
Дата введения в действие:
06-01-08
Дата завершения срока действия:
-
Применение и описание
Область и условия применения:
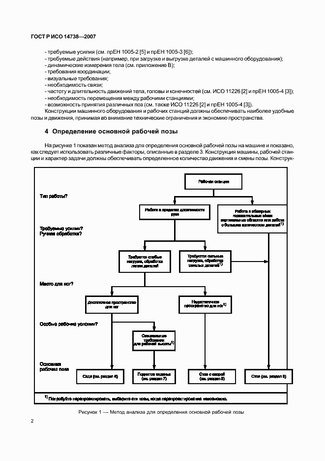
Настоящий стандарт устанавливает принципы получения размерных данных по антропометрическим измерениям и применения их при проектировании рабочих станций стационарного машинного оборудования. Настоящий стандарт основан на современных эргономических знаниях и антропометрических размерах. Настоящий стандарт определяет пространственные требования тела для оборудования при обычной работе в сидячем и стоячем положениях. Настоящий стандарт не включает специальные требования работ по техническому обслуживанию, ремонту и чистке
Связи и замены
Заменяющий:
-
Описание стандарта
ГОСТ Р ИСО 14738-2007 Безопасность машин. Антропометрические требования при проектировании рабочих мест машин
Страницы стандарта



























