ГОСТ Р 57272.1-2016 Менеджмент риска применения новых технологий. Часть 1. Общие требования
ГОСТ Р
Скачать ГОСТ в PDF или DOC бесплатно
Основная информация
Обозначение:
ГОСТ Р 57272.1-2016
Статус:
Действует
Тип:
ГОСТ Р
Название русское:
Менеджмент риска применения новых технологий. Часть 1. Общие требования
Название английское:
Risk management of new technologies using. Part 1. General requirements
Даты и сроки
Дата издания:
08-05-19
Дата введения в действие:
12-01-17
Дата завершения срока действия:
-
Применение и описание
Область и условия применения:
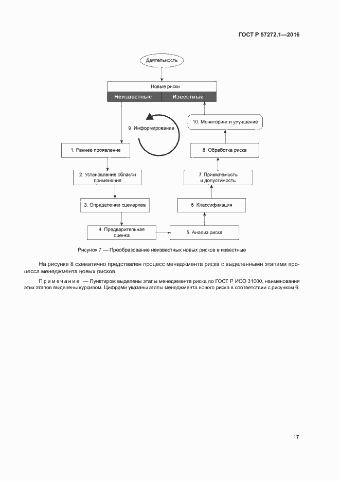
В стандарте установлены общие принципы менеджмента риска в области применения новых технологий. Стандарт является основополагающим в комплексе стандартов по менеджменту риска при применении новых технологий. Основу стандарта составляет рассмотрение десяти этапов процесса менеджмента риска применения новых технологий с указанием процедур, соответствующих каждому этапу
Связи и замены
Заменяющий:
-
Описание стандарта
ГОСТ Р 57272.1-2016 Менеджмент риска применения новых технологий. Часть 1. Общие требования
Страницы стандарта























