ГОСТ Р 51901.16-2017 Менеджмент риска. Повышение надежности. Статистические критерии и методы оценки
ГОСТ Р
Скачать ГОСТ в PDF или DOC бесплатно
Основная информация
Обозначение:
ГОСТ Р 51901.16-2017
Статус:
Действует
Тип:
ГОСТ Р
Название русское:
Менеджмент риска. Повышение надежности. Статистические критерии и методы оценки
Название английское:
Risk management. Reliability growth. Statistical test and estimation methods
Даты и сроки
Дата издания:
10-16-17
Дата введения в действие:
12-01-18
Дата завершения срока действия:
-
Применение и описание
Область и условия применения:
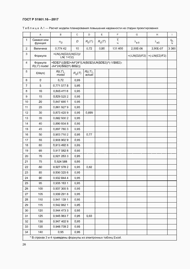
В настоящем стандарте приведены модели повышения надежности и количественные методы оценки, основанные на данных об отказах, полученных в соответствии с программой повышения надежности. Эти процедуры позволяют определять уровень повышения надежности, точечные оценки и доверительные интервалы показателей надежности, а также применять критерии согласия
Связи и замены
Заменяющий:
-
Взамен:
ГОСТ Р 51901.16-2005
Описание стандарта
ГОСТ Р 51901.16-2017 Менеджмент риска. Повышение надежности. Статистические критерии и методы оценки
Страницы стандарта












































