ГОСТ Р ИСО 9241-306-2012 Эргономика взаимодействия человек-система. Часть 306. Методы оценки электронных видеодисплеев в условиях эксплуатации
ГОСТ Р ИСО
Скачать ГОСТ в PDF или DOC бесплатно
Основная информация
Обозначение:
ГОСТ Р ИСО 9241-306-2012
Статус:
Действует
Тип:
ГОСТ Р ИСО
Название русское:
Эргономика взаимодействия человек-система. Часть 306. Методы оценки электронных видеодисплеев в условиях эксплуатации
Название английское:
Ergonomics of human-system interaction. Part 306. Field assessment methods for electronic visual displays
Даты и сроки
Дата издания:
01-30-19
Дата введения в действие:
07-01-14
Дата завершения срока действия:
-
Применение и описание
Область и условия применения:
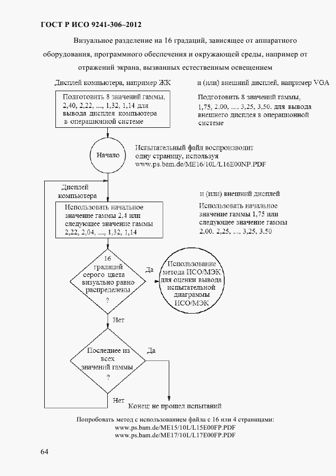
Настоящий стандарт устанавливает методы оптического, геометрического и визуального контроля для оценки дисплея в различных окружающих средах использования, приведенных в ИСО 9241-303
Связи и замены
Заменяющий:
-
Описание стандарта
ГОСТ Р ИСО 9241-306-2012 Эргономика взаимодействия человек-система. Часть 306. Методы оценки электронных видеодисплеев в условиях эксплуатации
Страницы стандарта














































































