ГОСТ Р 22.9.24-2014 Безопасность в чрезвычайных ситуациях. Машины аварийно-спасательные. Классификация. Общие технические требования
ГОСТ Р
Скачать ГОСТ в PDF или DOC бесплатно
Основная информация
Обозначение:
ГОСТ Р 22.9.24-2014
Статус:
Действует
Тип:
ГОСТ Р
Название русское:
Безопасность в чрезвычайных ситуациях. Машины аварийно-спасательные. Классификация. Общие технические требования
Название английское:
Safety in emergency. Emergency and rescue vehicles. Classification. General technical requirements
Даты и сроки
Дата издания:
10-04-19
Дата введения в действие:
04-01-15
Дата завершения срока действия:
-
Применение и описание
Область и условия применения:
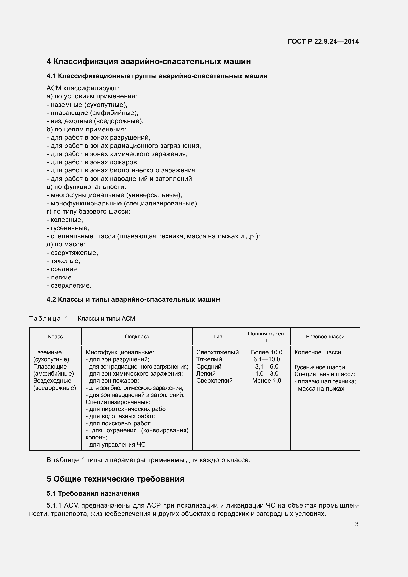
Настоящий стандарт устанавливает классификацию и общие технические требования к аварийно-спасательным машинам для выполнения аварийно-спасательных работ в зонах чрезвычайных ситуаций. Настоящий стандарт применяют при: - разработке новых аварийно-спасательных машин; - модернизации существующих аварийно-спасательных машин; - формировании комплексов технических средств для аварийно-спасательных работ; - закупках аварийно-спасательных машин; - сертификационных испытаниях аварийно-спасательных машин
Связи и замены
Заменяющий:
-
Описание стандарта
ГОСТ Р 22.9.24-2014 Безопасность в чрезвычайных ситуациях. Машины аварийно-спасательные. Классификация. Общие технические требования
Страницы стандарта



















