ГОСТ Р 59773-2021 Безопасность функциональная систем, связанных с безопасностью зданий и сооружений. Порядок применения комплекса стандартов ГОСТ 34332. Примеры расчетов
ГОСТ Р
Скачать ГОСТ в PDF или DOC бесплатно
Основная информация
Обозначение:
ГОСТ Р 59773-2021
Статус:
Действует
Тип:
ГОСТ Р
Название русское:
Безопасность функциональная систем, связанных с безопасностью зданий и сооружений. Порядок применения комплекса стандартов ГОСТ 34332. Примеры расчетов
Название английское:
Functional safety of building/construction safety-related systems. Procedure for application of GOST 34332 set of standards. Examples of calculations
Даты и сроки
Дата издания:
11-12-21
Дата введения в действие:
12-01-21
Дата завершения срока действия:
-
Применение и описание
Область и условия применения:
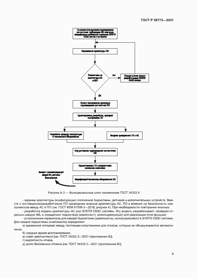
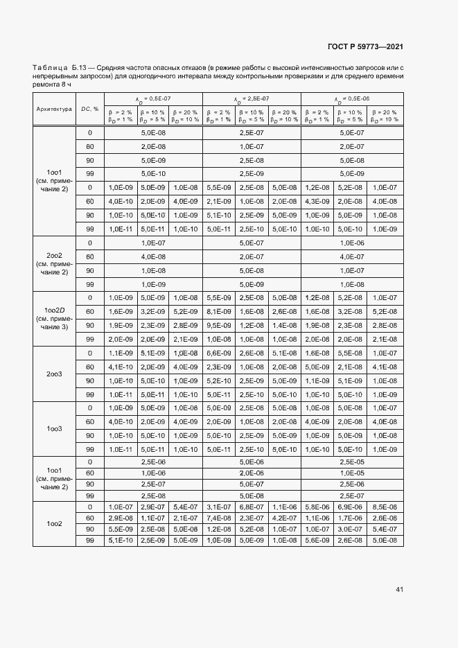
Настоящий стандарт содержит информацию и руководящие указания по применению требований, рекомендаций и справочных материалов к электрическим, электронным, программируемым электронным (Э/Э/ПЭ) системам, связанным с безопасностью зданий и сооружений (Э/Э/ПЭ СБЗС системам) и к программному обеспечению этих систем, установленных и представленных в комплексе стандартов ГОСТ 34332, а также примеры расчетов. Настоящий стандарт применяют совместно со стандартами комплекса ГОСТ 34332. Настоящий стандарт не распространяется на Э/Э/ПЭ СБЗС систему, которая является единственной одиночной системой, способной осуществить необходимое снижение риска на объекте, и требуемая полнота безопасности этой системы ниже, чем определено уровнем полноты безопасности (УПБ) 1 — самым низким уровнем, приведенным в ГОСТ 34332.2–2017 (таблицы 1 и 2). Настоящий стандарт рекомендуется для применения пользователями стандартов комплекса ГОСТ 34332 (юридическими и физическими лицами, чьи действия влияют на обеспечение функциональной безопасности Э/Э/ПЭ СБЗС систем и обеспечение безопасности и антитеррористической защищенности объектов на стадиях их жизненных циклов)
Связи и замены
Заменяющий:
-
Описание стандарта
ГОСТ Р 59773-2021 Безопасность функциональная систем, связанных с безопасностью зданий и сооружений. Порядок применения комплекса стандартов ГОСТ 34332. Примеры расчетов
Страницы стандарта







































































































